Buenas Noches, quisiera saber si alquien podría ayudarme a comprobar 2 de las propiedades de este espacio, 4) x + u = x , donde u = 0v y 5) x + w = 0v, es que la dificultad es que son matrices y como son de distinta dimesion no se como igualarlas para comprobar estas propiedades. urgente!!! mil gracias!!! saludos desde Colombia :)
Hola, cuál es la manera de calcular con aritmética de corte a 3 dígitos lo siguiente:
(9/7) - (0.782)
Saludos!!
No se si es una duda muy matemática, peroe trae de cabeza, " si ayer fuese mañana, hoy sería viernes" ¿que día de la semana se ha dicho esto?
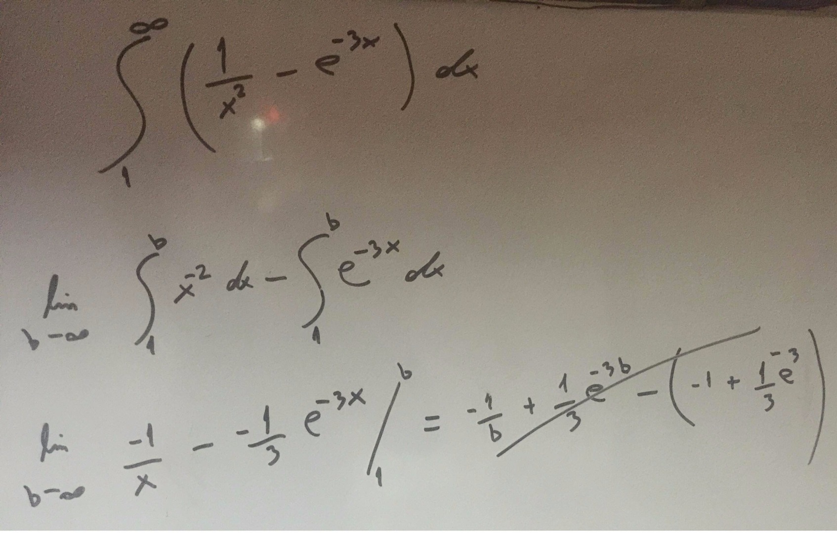
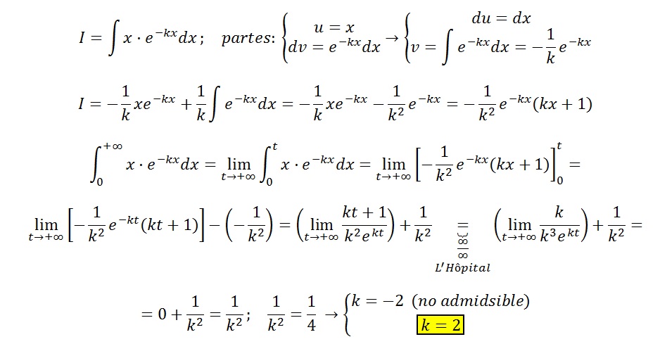
Aqui adjunto un ejercicio de limites con cambio de variable, la respuesta que me dio mi profesor es 3/2, pero a mi me ha dado algo extraño jajaj por favor alguien me diga en que parte he cometido el error
Hola, me pueden ayudar con este ejercicio:
Contra un blanco que se aleja a razon de 1 km./minuto, se realiza un disparo cada minuto, a partir
del instante en que se encuentra a 2 km., y se deja de disparar la primera vez que se alcanza el blanco. La
probabilidad de acertar a una distancia d es 1/d^2
¿Cuantos disparos hay que realizar para que la probabilidad de alcanzar el blanco sea 0’45?
SOLUCION:
Al hacer los calculos llego a la formula:
q2q3···qn=((n−1)! (n+ 1)!)/(n!)^2 , pues considero que el la posicion n llega al exito, es decir, alcanza el blanco, y que en las (n-1) posiciones anteriores no alcanza al blanco.
ya que la probabilidad ed alcanzar el blanco en la poscion i = (i-1)(i+1) / i^2
Pero al mirar el solucionario me da que la formula es q2q3···qn=((n−1)! (n+ 1)!/2)/(n!)^2
No entiendo por que divide entre 2, si me lo pudiesen explicar.
Saludos cordiales.
Me piden determinar la ecuación de la recta que pasa por el punto (1,1) formando un triángulo isósceles con las rectas y=5 , 4x+3y=11... No sé si está bien mi resolución

Comencemos por designar:
L1: recta con ecuación y = 5,
L2: recta con ecuación 4x + 3y = 11
L3: recta con ecuación: y = m(x - 1) + 1, de la que sabemos que pasa por el punto A(1,1) y cuya ecuación queremos determinar,
P(-1,5) al punto de intersección entre L1 y L2 (cuyas coordenadas puedes verificar resolviendo el sistema de ecuaciones correspondientes.
Ahora debes construir un gráfico cartesiano, y proponer un triángulo con base sobre la recta L1, y el vértice opuesto a la base por debajo de ella, al que designamos M.
Te envío una foto con un diagrama hecho a mano alzada, para visualizar la situación.
Mediante relaciones entre ángulos interiores de un triángulo isósceles, entre ángulos alternoe internos entre rectas paralelas, y entre ángulos opuestos por el vértice entre rectas secantes, podemos determinar completamente la ecuación de la recta L3.
Observa que los vértices del triángulo que hemos propuesto son los puntos: P(-1,5), M(3/2,5/3) y N(4,5) (éstos dos últimos los puedes calcular planteando intersección entre las rectas secantes que los determinan y resolviendo el sistema de ecuaciones correspondiente), y que las longitudes de los lados del triángulo (que puedes calcular empleando la fórmula de distancia entre dos puntos) son:
|PN| = 5, |MN| = 25/6, y |PM| = 25/6, por lo que tenemos que el triángulo PMN es isósceles.
Espero haberte ayudado.