DEMOSTRAR QUE SI d=mcd(a,b) entonces (d^2)=mcd((a^2),(b^2))

Observa que si d es el máximo común divisor entre a y b, entonces:
a = dp
b =dq
donde p y q no tienen factores comunes, o sea: mcd(p,q) = 1.
Luego:
a^2 = (dp)^2 = d^2 * p^2
b^2 = (dq)^2 = d^2 * q^2
donde a^2 y b^2 comparte solamente el factor d^2, ya que p^2 y q^2 no comparten factores, ya que p y q tampoco comparten factores.
Por lo tanto:
mcd( a^2 , b^2 ) = d^2.
Espero haberte ayudado.
Hola muy buenas unicoos, tengo una integral que no sé resolver.. en teoría por el enunciado es por cambio de variable, pero no me sale. Ayuda please y gracias.

Si te refieres al ejercicio 5:
I = Integral x^3 * x^2 * V(1 - x^3) * dx = Integral x^3 * V(1 - x^3) * x^2 * dx
Luego puedes plantear la sustitución (o cambio de variable):
u = 1 - x^3, de donde tienes:
du = -3x^2*dx, y luego: (-1/3)du = x^2 * dx,
y también:
x3 = 1 - u.
Luego sustituyes en la integral y queda:
I = Integral (1 - u)*V(u)*(-1/3)du = -1/3 * Integral (1 - u) * u^(1/2) * du
Solo queda para que distibuyas, luego resuelvas y por último vuelvas a sustituir.
Espero haberte ayudado.
hola, he intentado resolver una ecuacion que he visto a otro unicoo que le da exacta, pero a mi no. porque las derivadas parciales no son iguales.
no entiendo por que,
ahora como seguiria por favor?

Observa que si tratamos con una ecuación diferencial exacta, tenemos:
df = 0
luego:
Pdx + Qdy = 0
donde tenemos:
fx = P, luego derivamos con respecto a y y queda: fxy = Py
fy = Q, luego derivamos con respecto a x y queda: fyx = Qx
luego, por el Teorema de Claireaut, si las dos derivadas segundas que hemos planteado son continuas, debe cumplirse:
fxy = fyx, lo que corresponde a:
Py = Qx.
Y la solución general implícita de la ecuación diferencial exacta:
df = 0
luego integramos y queda:
f(x,y) = C, en la que C es una constante.
En tu ejercicio tenemos (siguiendo el esquema anterior):
df = 0
x^2 * y * dx + ((1/3) * x3 + y) * dy = 0
luego tenemos:
fx = P = x^2 * y, luego integramos con respecto a x y tenemos: f = (1/3) * x^3 * y + A(y)
fy = Q = (1/3) * x^3 + y, luego integramos con respecto a y y tenemos: f = (1/3) * x^3 * y + (1/2) * y^2 + B(y)
Luego, comparando las expresiones, tenemos que la expresión de la función f es:
f(x,y) = (1/3) * x^3 * y + (1/2) * y^2 + K, donde K es una constante,
y la solución general implícita de la ecuación diferencial exacta es:
(1/3) * x^3 * y + (1/2) * y^2 = C (observa que hemos agrupado todas las constantes arbitrarias en el segundo miembro).
Espero haberte ayudado.
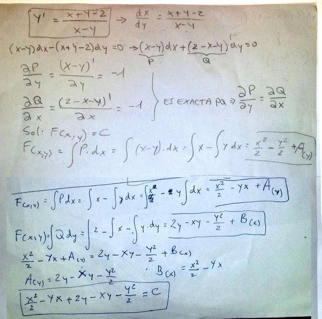
hola adjunto una ecuacion resuelta para corregirla por favor.
ya me la medio corrigieron en unicoos y ahora la he terminado de hacer.
muchas gracias¡¡

Observa que has expresado con error a la derivada como cociente de diferenciales: y ' = dy/dx (has consignado el cociente inverso).
Luego haces pasajes de divisores como factores y la ecuación queda:
(x - y) * dy = (x + y - 2) * x,
luego hacemos pasaje de término y queda:
- (x + y - 2) * dx + (x - y) * dy = 0.
Observa que tenemos:
P = - (x + y - 2). de donde tenemos: Py = --1
Q = x - y, de donde tenemos: Qx = 1
Por lo tanto, no estamos tratando con una ecuación diferencial exacta.
Prueba resolverla con el método de las ecuaciones reducibles a variables separables, y recuerda que hay un vídeo sobre este tema.
Espero haberte ayudado.
Hola de nuevo amigos, necesito su ayuda no entiendo el concepto de relación de equivalencia asociada a una función, podrian explicarme por favor
Hola de nuevo, ¿podéis ayudarme en este ejercicio?
La pirámide de la figura se corta con un plano paralelo a la base por el punto medio de la altura de la pirámide. Calcula la relación que existe entre los volúmenes de la pirámide original y la pirámide semejante a la original que resulta tras el corte.
PD: es una pirámide cuadrangular, la pirámide resultante tiene la mitad de altura y de aristas. No tiene medidas, por tanto, se tiene que expresar la razón entre los volúmenes de las dos figuras con variables.

Te propongo dibujar.
Imagina un corte de la pirámide desde su vértice, siguiendo a su altura. Si lo dibujas, queda un triángulo cuya base mide b, que es la medida de la arista de la base, y su altura coincide con la altura de la pirámide.
Ahora traza un segmento paralelo a la base, que pase por el punto medio de la altura, y te quedará determinado en la porción superior un triángulo semejante (un poco más pequeño), con altura cuya medida es igual a la mitad de la altura de la pirámide y, por semejanza de triángulos, su base medirá la mitad de la medida de la base del triángulo mayor.
Llamemos:
b1 a la medida de la base del triángulo menor (observa que es la medida de la arista de la base de la pirámide menor),
h1 a la medida de la altura del triángulo menor (observa que es la medida de la altura de la pirámide menor);
b a la medida de la base del triángulo mayor (observa que es la medida de la arista de la base de la pirámide mayor,
h a la medida de la altura el triángulo mayor (observa que es la medida de la altura de la pirámide mayor
Luego, observa que por semejanza de triángulos tenemos:
b1 / b = 1/2 y h1 / h = 1/2 (la altura de la pirámide menor es la mitad de la altura de la pirámide mayor), por lo que tenemos:
b1 = (1/2)b
h1 = (1/2)h.
Ahora pasamos a la expresión del volumen de una pirámide:
V = Superficie de su base * altura / 3 (observa que has cometido error al plantear la expresión para el volumen de una pirámide).
Si suponemos que la pirámide mayor tiene base cuadrada, su volumen queda expresado:
V = b^2 * h / 3
Como la pirámide menor es semejante a la pirámide mayor, su volumen queda expresado:
V1 = b1^2 * h1 / 3 = ((1/2)b)^2 * (1/2)h / 3 = (1/4)b^2 * (1/2)h / 3 = (1/8)b^2 * h / 3 = (1/8)V
por lo tanto tenemos:
V1 = (1/8)V, luego hacemos pasaje de factor como divisor y llegamos a la igualdad
V1 / V = 1/8,
y concluimos que el volumen de la pirámide de menor tamaño es la octava parte del volumen de la pirámide mayor.
Espero haberte ayudado.
Hola UNICOOS, tengo una duda con el siguiente ejercicio:
Utiliza el Teorema de Tales, una regla y un compás para determinar en la recta r el número 13/5.
No sé para qué usar el compás.
¿Cómo harían el ejercicio?
Gracias.

Para empezar 13/5 es igual a 2 y 3/5. Sobre el dos de tu recta numérica tienes que trazar un segmento. El compás lo tienes que utilizar para dividir el segmento en cinco partes, al utilizar el compás te garantizas que todas esas partes midan lo mismo. Es conveniente usar escuadra y cartabon, porque ahora tendrás que trazar lineas paralelas. El quinto punto del segmento lo debes unir con el numero tres de tu recta numérica. Debes trazar lineas paralelas a esa nueva linea que acabas de trazar, de tal manera que todas esa rectas paralelas pasen por los puntos equidistantes que has trazado con el compás y pasen también por la recta numérica. Al hacer eso habrás dividido el tramo del dos al tres en cinco partes iguales, de las cuales tienes que rellenar las tres primeras para garantizarte que ocupa 2/5, y en total sumara 13/5 y habras usado el teorema de tales.
Espero que te sea útil.