
Has observado bien:
el triángulo ABC es equilátero, y el triángulo DAB es isósceles,
lo que nos conduce a:
|AC| = |AB| = |AD| = a (***)
(Observa que los datos del enunciado son medidas de ángulos, y que has observado características de lados de triángulos, por lo tanto es esperable que debas aplicar alguna relación, a partir de teoremas que vinculen medidas de ángulos interiores con medidas de lados. Los primeros teoremas son: Teorema del Seno, Teorema del Coseno y Teorema de las Tangentes)
Luego, a partir de aquí, observa el triángulo ADC:
llamemos x a la medida de su ángulo interior con vértice C (qué es la incógnita planteada en el enunciado), y
llamemos (y + 50°) a la medida de su ángulo interior con vértice D.
A partir del Teorema del Seno (si lo has visto en clase, podemos aplicarlo), tenemos:
sen(50° + y) / |AC| = sen(x) / |AD|
luego, a partir de la doble igualdad señalada (***) reemplazamos y queda:
sen(50° + y) / a = sen(x) / a
cancelamos denominadores iguales y queda:
sen(50 + y) = sen(x)
Esta ecuación trigonométrica nos lleva a dos opciones:
1) 50° + y = x
2) 50° + y = 180° - x, que haciendo pasajes de términos y resolviendo queda: x + y = 130.
Antes de continuar con cada una de estas opciones, observa el triángulo ADC, para el que planteamos la suma de las medidas de sus ángulos interiores:
x + (50° + y) + 20° = 180°, que al hacer pasajes de términos y reducción de términos semejantes, queda:
x + y = 110°.
Luego, plantearemos un sistema de ecuaciones para cada opción:
1)
50° + y = x
x + y = 110°
resuelves por sustitución, y su solución es: x = 80° e y = 30°,
por lo tanto concluimos que la medida del ángulo ACD es x = 80°.
2)
x + y = 130°
x + y = 110°
puedes restar miembro a miembro y llegas a la igualdad:
0° = 20°, por lo que tenemos que el sistema no tiene solución (es incompatible (o inconsistente)), y concluimos que de esta segunda opción no tenemos resultados.
Espero haberte ayudado.
Hola, he resuelto un ejercicio de limites, pero nose si está realmente bien, puesto que la respuesta de mi profesor es "0" y a mi me a dado "1"
Hola me pueden ayudar con esta matriz, se calcular todo lo único que no se es que hacer con el 2 que acompaña al x, ya que no puede pasar diviendo a las matrices

Sí la puedes dividir entre 2. Lo que no se puede hacer es la división entre 2 matrices, pero una matriz entre un número si se puede hacer.
De todos modos te paso lo que me ha salido a mí, aunque lo he hecho algo rápido, espero que no exista ningún error en algún cálculo.
Espero haberte ayudado Carlos y mucho ánimo con tus estudios :)

En la primera puedes plantear:
u = x + 1, de donde tienes: du = dx, y también: u - 1 = x.
Observa que el sustituir, el denominador queda expresado: u^3,
y el numerador queda expresado: (u-1)^2 - 3 = u^2 - 2u +1 - 3 = u^2 - 2u -2.
Luego sustituyes y la integral queda:
I = Integral ((u^2 - 2u -2)/u^3)*du = distribuyes el denominador, operas con las potencias y queda:
= Integral (1/u - 2u^(-2) - 2u^(-3))*du = integras término a término (observa que todas las integrales son directas) y queda:
= ln|u| + 2u^(-1) + u^(-2) + C.
Solo queda sustituir u por su expresión en función de x, que planteamos en la sustitución.
En la segunda, planteamos la sustitución:
u = 1 - V(x), de la que tienes: V(x) = 1 - u, y también tienes:
du = -1/(2V(x)) * dx observa que podemos volver a sustituir en función de u y queda:
du = -1/(2(1 - u) * dx, y de aquí podemos despejar haciendo pasaje de divisores como factores y queda:
-2(1 - u)*du = dx.
Luego sustituimos en la integral y queda:
I = Integral u^10 * (-2(1 - u))*du = -2 * Integral u^10 * (1 - u) * du = -2 * (Inegral (u^10 - u^11) * du) luego integramos término a término y queda:
I = -2 * ((1/11)u^11 - (1/12)u^12) + C.
Solo queda volver a sustituir u por su expresión en función de x.
Espero haberte ayudado.
Hola, hice este limite de doble variable y al final me dio el valor absoluto de 2y partido en x pero me lo pusieron malo con sandiwch, me pueden ayudar?

Observa que el límite es indeterminado, ya que su numerador tiende a cero y su denominador también tiende a cero.
Probemos acercarnos al origen (que es el punto de estudio) siguiendo caminos rectos, con ecuación general: y = mx, con m perteneciente al conjunto de los números reales.
Sustituimos y nos queda:
Lím (x -->0) 4xmx / (2x^2 + 2(mx)^2) = distribuimos en el segundo término del denominador y queda:
= Lím (x -->0) 4m*x^2 / (2x^2 + 2m^2 * x^2) = extraemos factor común en el denominador y queda.
= Lím (x-->0) 4m*x^2 / (2x^2 * (1 + m^2)) = simplificamos en la expresión fraccionaria y queda:
= 2m / (1 + m^2)
que es una expresión que depende de la pendiente de cada camino recto (observa que cada camino que elijamos nos lleva a un resultado diferente al de los demás caminos), por lo tanto concluimos que el límite de la función cuando (x,y) tiende a (0,0) no existe.
Espero haberte ayudado.
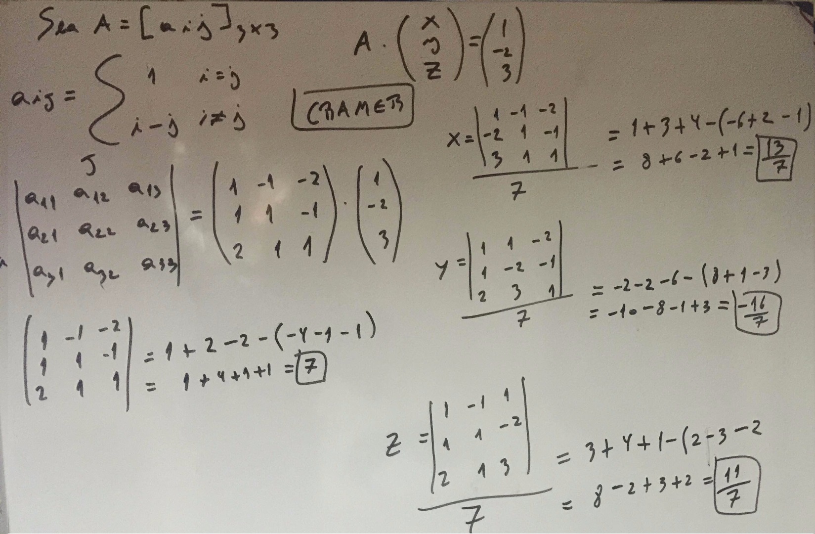
Este determinante esta bueno? lo hice con sarrus y una consulta mas ya que existe una manera para hacer un sistema 4x4 con kramer.... utilizando determinantes no hay alguna manera para usar estos en una matriz?

El determinante que has desarrollado está correcto, y la resolución de la ecuación final también.
Para sistemas Cramerianos de cuatro ecuaciones con cuatro incógnitas, al resolver te quedarán cuatro de determinantes de orden cuatro, que deberás resolver mediante eliminación hasta llegar a obtener un determinante de orden tres, que resolverás con la regla de Sarrus.
Espero haberte ayudado.