
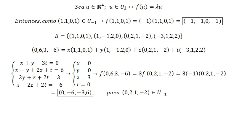
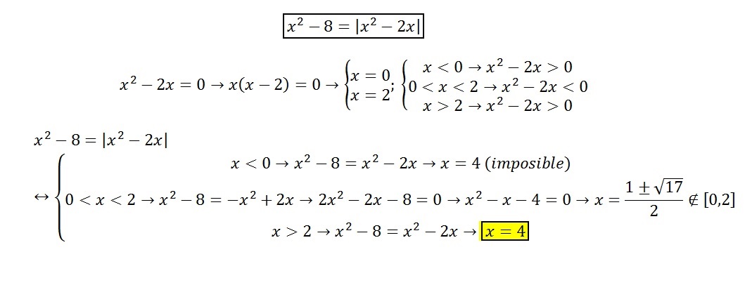
Observa que para los conjuntos A y B no es posible dar su lista completa de elementos, ya que ambos conjuntos tienen infinitos elementos, que son números reales, pero si es posible expresarlos como intervalos reales, o como unión de intervalos reales.
Debes recordar propiedades del valor absoluto y las desigualdades (a es un número real mayor que 0):
1) |u| < a es equivalente a la doble desigualdad: -a < u < a, y también: |u| <= a es equivalente a la doble desigualdad: -a <= u <= a.
2) |u| > a es equivalente a: u < -a o u >a, y también: |u| >= a es equivalente a: u <= -a o u >=a.
Vamos al primer ejercicio:
La condición que cumplen los elementos del conjunto A es:
|x - 1,5| >= 1,5
aplicamos la propiedad 2) y tenemos:
x - 1,5 <= -1,5 o x - 1,5 >= 1,5
hacemos pasaje de términos en ambas inecuaciones, resolvemos y quedan:
x <= 0 o x >= 3.
Luego, podemos expresar al conjunto A como unión de dos intervalos:
A = (-inf , 0] u [3 , inf).
La condición que cumplen los elementos del conjunto B (observa que escribimos al decimal periódico en forma fraccionaria) es:
| x + 1/3| < 2
aplicamos la propiedad 1) y tenemos:
-2 < x + 1/3 < 2
luego restamos 1/3 en cada miembro de la doble inecuación y queda:
-2 - 1/3 < x + 1/3 - 1/3 < 2 - 1/3
luego cancelamos términos constantes en el miembro central, resolvemos en los miembros de los extremos y queda:
-7/3 < x < 5/3.
Luego podemos expresar al conjunto B como intervalo:
B = (-7/3 , 5/3 ).
Observa que en la forma proposicional se emplea un cuantificador existencial ("existen"), que el universo es el conjunto de los triángulos (nos hablan de ellos), y la forma proposicional es que los triángulos son rectángulos.
Por lo tanto tenemos:
Cuantificador: E (no puedo escribir el símbolo correspondiente en mi teclado),
U = {x: x es triángulos}
P(x): " x es rectángulo".
Por lo tanto, habiendo aclarado todo, escribimos: (Ex) (P(x)).
Debes ver si hay que ajustar formas de escribir, para ello verifica en tu carpeta de clases.
Espero haberte ayudado.
Buenas unicoos, una duda que tengo, en una ecuación diferencial ordinaria de orden n y grado m, puede decirse que m≤n o no existe ninguna relación entre orden y grado ?

Debes tener en cuenta que el orden lo determina "la mayor derivada de la función" (primera, segunda, tercera) y el grado lo determina "el exponente de la potencia a la que está elevada la mayor derivada de la función".
Por ejemplo:
y '' + 2(y ')^2 = cosx es una ecuación diferencial de segundo orden y primer grado,
(y ''')^2 - x(y ' ) + y^4 = x es una ecuación de tercer orden y segundo grado.
Espero haberte ayudado.

Debes tener en cuenta que el orden lo determina "la mayor derivada de la función" (primera, segunda, tercera) y el grado lo determina "el exponente de la potencia a la que está elevada la mayor derivada de la función".
Por ejemplo:
y '' + 2(y ')^2 = cosx es una ecuación diferencial de segundo orden y primer grado,
(y ''')^2 - x(y ' ) + y^4 = x es una ecuación de tercer orden y segundo grado.
Espero haberte ayudado.
Hola
en unicoos me ayudaron con esta ecuacion pero me asalta una duda sobre su resolucion.
la respuesta fue .
Partiendo del enunciado tal cuál está en la foto, probemos con separación de variables:
x^y * lnx * dy = - y * x^(y - 1) * dx, luego:, ( x^y / x^(y - 1)) * lnx * dy = - y * dx, luego:
x * lnx * dy = - y * dx, luego separamos variables:
(1/y)*dy = - (1/lnx)*(1/x)*dx
observa que la integral para y es directa, y que la integral para x se resuelve por medio de la sustitución: w = lnx, lo haces y queda:
ln|y| = - ln|w| + C.
Luego puedes volver a sustituir, y recuperas la variable x en la ecuación.
Espero haberte ayudado.
Y mi duda es. en el paso de la integral de - (1/lnx)*(1/x)*dx, no te faltaria la integral de (1/x)?
y quedaria ln|y| = - ln|w| * ln|x| + C ?
y despues con la sustitucion de w, la solucion final seria
ln|y| = - ln|lnx| * ln|x| + C o eso no se puede dejar asi.
muchas gracias
hola¡
una consulta, segun se ve en la foto, al pasar el termino 4x-3y al otro lado de la ecuacion, no deberia estar en el numerador con signo cambiado, es decir -4x+3y?
Antonio, te comente otras dudas anteriors que me resolviste, las puedes ver o hay que formularlas de nuevo?
muchas gracias
Hola, estoy preparando la recu de mate de 3º de ESO y tengo esta duda.
Gracias por vuestros vídeos y ayuda.
http://www.unicoos.com/hand/files/DUDA.jpg
Hola, estoy con series de taylor, la funcion es sen x; c=pi/4.. me queda que la serie esta formada por dos terminos positivos y dos negativos, intercalandose hasta el infinito. Como puedo expresar esto?. Gracias!
Se embarcan Tv. En lotes de 15 unidades. Antes de que el cargamento sea aceptado, un inspector elige 4 al azar y las prueba. Si a lo sumo un Tv. Es defectuoso el lote es aceptado. En caso contrario se inspecciona el lote completo. Supongamos que en realidad hay 4 Tv. Con defectos en el lote. ¿Cuál es la probabilidad que sea revisado el lote completo?. 6 ptos