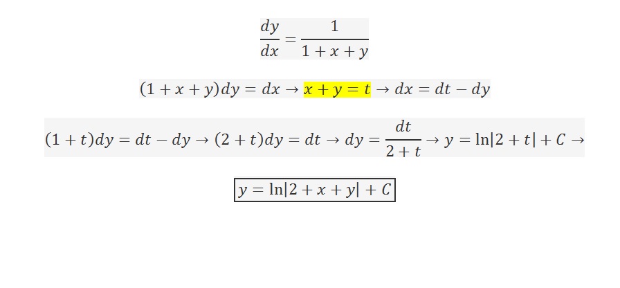
Hola este enunciado lo hice en un examen y quede con la duda, es sobre el área entre curvas. lo que hice fue calcular x e y. luego analizar cual curva va primero e integre dos veces y al final evalué en x e y pero esta bien así ?

Seguiremos el procedimiento del vídeo correspondiente, que te recomiendo mires:
designamos a una de las variables para asignarle un parámetro real t. Por ejemplo:
z = t
luego reemplazamos en las ecuaciones y quedan (solo mantenemos como incógnitas a x e y):
3x - y = -2t + 1
x + y = 3t -4
observa que nos quedó para resolver una primera incógnita con el método de reducción, sumamos las ecuaciones miembro a miembro y queda:
4x = t - 3
luego dividimos por 4 en todos los términos y obtenemos la expresión paramétrica para x:
x = (1/4)t - 3/4
luego, para obtener la expresión paramétrica para y, reemplazamos en una de las dos ecuaciones (por ejemplo la segunda) y queda:
(1/4)t - 3/4 + y = 3t - 4
por último, hacemos pasajes de términos, reducimos términos semejantes y llegamos a:
y = (11/4)t - 13/4
Por último, las ecuaciones cartesianas paramétricas de la recta que es intersección de los planos cuyas ecuaciones están en el enunciado son:
x = (1/4)t - 3/4
y = (11/4)t - 13/4
z = t
con t perteneciente al conjunto de los números reales.
Puedes verificar reemplazando las expresiones en las ecuaciones de los planos.
Espero haberte ayudado.
Hola
en unicoos me ayudaron con esta ecuacion pero se equivoco copiando el enunciado, pusieron ln y, en vez de ln x.
lo he puesto en los comentarios de la pregunta, pero al parecer no son visibles o algo asi.
entonces como seria?

Partiendo del enunciado tal cuál está en la foto, probemos con separación de variables:
x^y * lnx * dy = - y * x^(y - 1) * dx, luego:, ( x^y / x^(y - 1)) * lnx * dy = - y * dx, luego:
x * lnx * dy = - y * dx, luego separamos variables:
(1/y)*dy = - (1/lnx)*(1/x)*dx
observa que la integral para y es directa, y que la integral para x se resuelve por medio de la sustitución: w = lnx, lo haces y queda:
ln|y| = - ln|w| + C.
Luego puedes volver a sustituir, y recuperas la variable x en la ecuación.
Espero haberte ayudado.
hola, alguien sabe cual es la solución correcta?
se que tengo que igualar para conseguir el punto de equilibrio y resolver la ecuación, pero no me da ningún resultado de los indicados...
Hola, a ver si pueden ayudarme con estas cuestiones de matrices. MIL GRACIAS!!
Responder razonadamente a las cuestiones:
1- ¿Puede ser incompatible un sistema de dos ecuaciones lineales y tres incógnitas?¿Y compatible determinado?
2- ¿Existe la posibilidad de encontrar un sistema de dos ecuaciones lineales y con cuatro incógnitas que sea incompatible?
3- ¿Hay algún sistema con tres ecuaciones lineales y dos incógnitas compatible determinado?
4- ¿Es cierto que un sistema de m ecuaciones lineales y dos incógnitas compatible determinado?
5- ¿Podemos encontrar un sistema de dos ecuaciones lineales y dos incógnitas que posea únicamente las soluciones (1,2) y (8,9)? ¿Y (0,0) y (-1,1)?
6- Si en un sistema de ecuaciones lineales compatible determinado cambiamos los términos independientes por otros cualesquiera, el nuevo sistema vuelve a ser compatible determinado.

1. Incompatible, sí: x+y+z=1, 2x+2y+2z=1
Compatible indeterminado, no, pues el rango común es ≤2 y hay 3 incógnitas.
2. Sí: x+y+z+t=1, 2x+2y+2z+2t=5
3. Sí, cogiendo uno de dos ecuaciones y añadiendo una tercera ecuación combinación lineal de las otras dos.
4. Mal formulada.
5. Un sistema lineal compatible tiene o bien solución única o bien infinitas soluciones.
6. Solo si es cuadrado, Si no, no lo podemos asegurar.