Hola !!
tengo unas consultas a ver si alguien puede ayudarme porfa, en el primer ejercicio me pide calcular el area bajo la funcion y=(raiz(x)) y por arriba la de funcion x-2... lo realize pero creo haberme equivocado , no se donde , ya que el resultado final me da - 6 [u] cosa que no me parece... en el segundo me piden encontrar el volumen de un solido en revolucion ... la verdad no entiendo como hacerlo , alguien con amor al projimo que me ayude?

Observa que las ecuaciones de las curvas se pueden expresar en forma explícita, con x como función de y:
x = y + 2
x = y^2
igualamos para buscar sus puntos de intersección y queda la ecuación:
y^2 = y + 2
luego hacemos pasajes de términos y queda:
y^2 - y - 2 = 0
cuyas soluciones son:
y = -1, que nos conduce a un punto que no pertenece al primer cuadrante:
y = 2, que nos conduce al punto (4,2), que si pertenece al primer cuadrante y es el punto de corte entre las curvas.
Luego, el área puede calcularse, con los límites de integración 0 < y < 2, y observa que a la izquierda de la región se encuentra la parábola, y a su derecha la recta):
Área = Integral ((y + 2) - y^2)*dy = [(1/2) * y^2 + 2y - (1/3) * y^3] para evaluar entre 0 y 2, lo hacemos y queda:
Área = (2 + 4 - 8/3) - 0 = 16/3.
Muchas veces es muy conveniente expresar las curvas con x en función de y, como en este caso.
Espero haberte ayudado.
Hola! Me podeis ayudar con estos dos ejercicios de limites porfaa ?? Lo que he hecho ha sido dividir cada numero por el coeficiente de mayor grado, tengo las soluciones (+Infinito y -1) pero no me dan. Gracias!!

a)
Tenemos que completar binomios elevados al cuadado:
empezamos por ordenar términos y hacer pasaje de términio numérico:
x^2 + 6x + y^2 + 4y = 7
luego agregamos términos según la propiedad uniforme, para completar los binomios al cuadrado desarrollados a la izquierda:
x^2 + 6x + 9 + y^2 + 4y + 4 = 7 + 9 + 4
luego, tenemos los binomios a la izquierda y resolvemos a la derecha:
(x + 3)^2 + (y + 2)^2 = 20
observa que la ecuación corresponde a una circunferencia, cuyos elementos son: centro C(-3,-2) y radio R = V(20);
b)
Observa que el punto P(1,0) pertenece a la circunferencia, ya que sus coordenadas verifican la ecuación.
Luego, derivamos implícitamente (recuerda que y es función de x):
2(x + 3) + 2(y + 2)*y ' = 0
luego evaluamos para el punto de contacto:
2(1 + 3) + 2(0 + 2)*y ' = 0
resolvemos en cada término:
8 + 4y ' = 0
por último, despejamos y obtenemos el valor de la derivada (que será la pendiente de la recta tangente buscada):
y ' = -2.
Por último, como tenemos el punto de contacto y la pendiente, pasamos a la ecuación cartesiana de la recta tangente:
y - 0 = -2(x - 1)
luego cancelamos el término nulo de la izquierda y distribuimos a la derecha y queda:
y = -2x + 2
que es la ecuación cartesiana explícita de la recta tangente pedida.
Espero haberte ayudado.
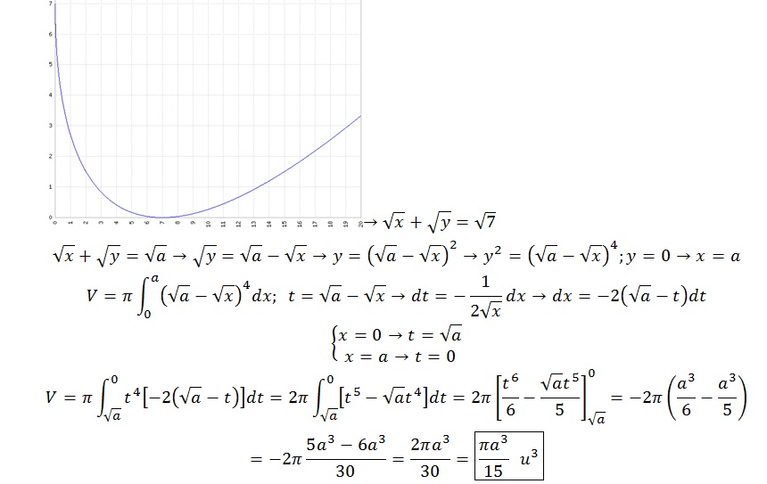
Hola estimados amigos de unicoos, solicito de vuestra ayuda para hallar el volúmen del sólido engendrado haciendo girar alrededor de OX la superficie límitada.
La parábola √x+√y=√a ,x=0 ,y=0
Sol. 1/15 πa³
En primer lugar ¿Cómo yo puedo identificar que esa ecuación es una parábola?
Muchisisismas gracias a la persona que me colabore, le doy un abrazo enorme. Saludos.

Recuerda la expresión para calcular un volumen de revolución, alrededor del eje OX:
V = pi * Integral (f(x))^2 * dx.
Comenzamos por despejar y en la ecuación implícita de la curva que nos dan en el enunciado, lo hacemos y queda:
y = (V(a) - V(x))^2
luego elevamos al cuadrado y queda:
y^2 = (V(a) - V(x))^4 = (f(x))^2
Por lo tanto, la integral para el volumen queda expresada:
V = pi * Integral (V(a) - V(x))^4 * dx
Para visualizar los límites de integración, observa la ecuación implícita de la curva, y tenemos que x >= 0, e y >= 0 por ser argumentos de raíces cuadradas, por lo tanto planteamos:
si x = 0, entonces V(y) = V(a), luego y = a;
si y = 0, entonces V(x) = V(a), luego x = a;
y vemos que x toma valores entre 0 y a, por lo que el intervalo de integración queda: 0 <= x <= a.
Volvamos ahora a la integral que tenemos que resolver:
V = pi * Integral (V(a) - V(x))^4 * dx
planteamos la sustitución:
u = V(a) - V(x), de donde tenemos (observa que cuando x = 0 tenemos que u = V(a), y cuando x = a tenemos que u = 0 (**)), luego hacemos pasaje de términos y queda:
V(x) = V(a) - u;
a partir de la expresión de u planteamos su diferencial:
du = (-1/(2V(x)))dx, luego: - 2V(x)du = dx, luego: -2(V(a) - u) *du = dx.
Sustituimos todo en la integral y queda:
V = pi * Integral u^4 * -2(V(a) - u) *du = -2pi * Integral (V(a)*u^4 - u^5) * du
Resolvemos y queda:
V = -2pi * [(V(a) / 5)*u^5 - (1/6)*u^6], que debemos evaluar (recuerda la llamada (**)) entre V(a) y 0, lo hacemos y queda:
V = -2pi * [ 0 - ( (V(a) / 5)*(V(a))^5 + (1/6)*(V(a))^6 )] =
= 2pi * [ a^3 / 5 - a^3 / 6] =
= 2pi * a^3 / 30 =
= pi * a^3 / 15.
Como última apreciación: busca un programa para graficar la curva, que no es una parábola con eje paralelo a OX u OY.
Espero haberte ayudado.
Para que valores de xf(x)=6 x 2 -1 es igual a 23, no entendí bien el tema.
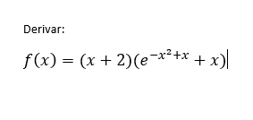
Hola, quisiera saber cómo se deriva lo siguiente. Realmente estoy muy confundido.
Espero su ayuda. Gracias.
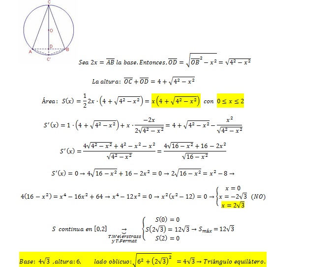
Holaa Buenas noches ;) es un ejercicio de optimización de funciones, espero y puedan ayudarme: Determinar las dimensiones del mayor triángulo isóceles que se puede inscribir en un circulo de radio 4cm.