Necesito ayuda con estos ejercicios por favor:
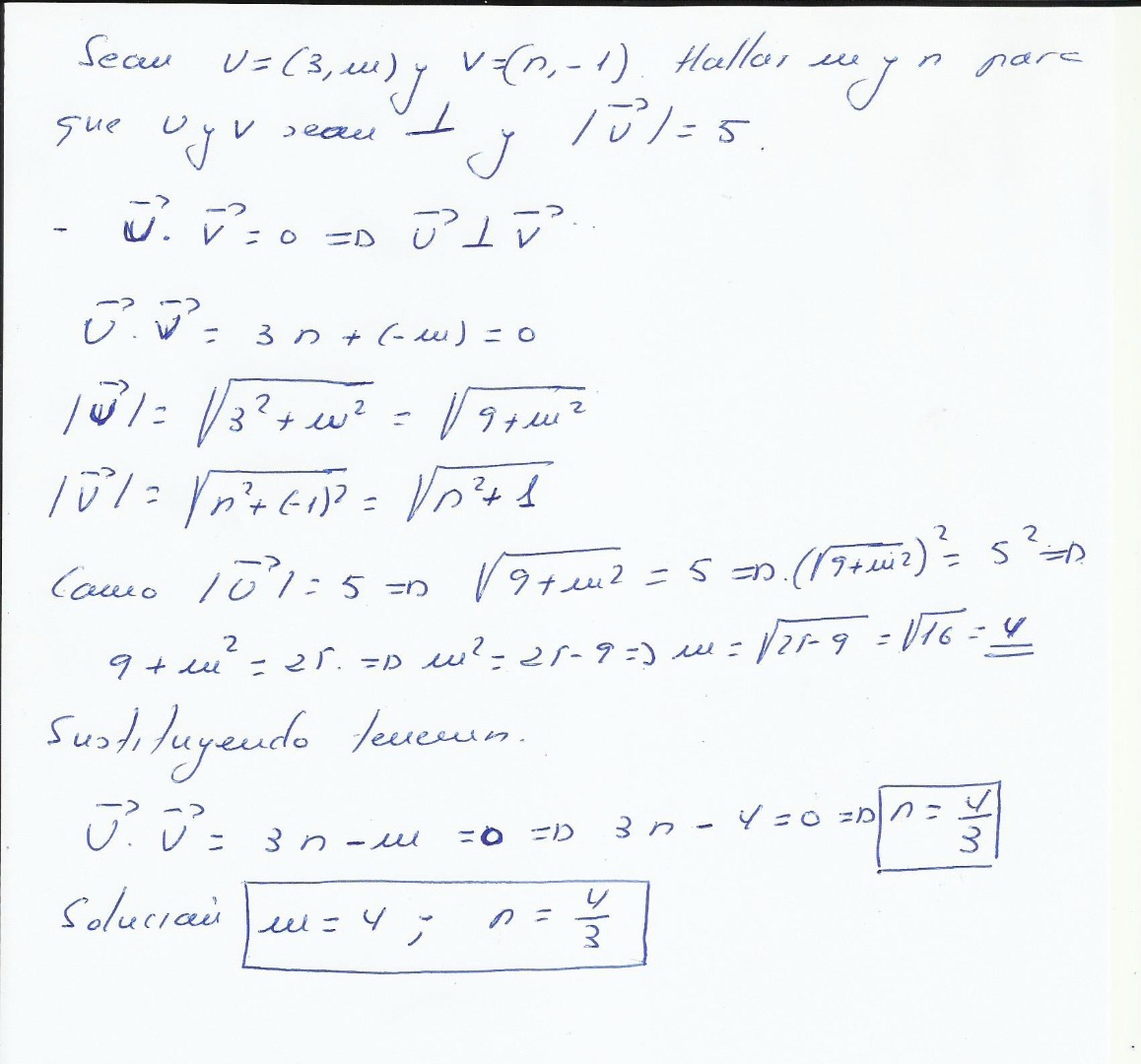
*Halla m y n para que los vectores u=(3,m) y v=(n,-1) sean perpendiculares y se verifique que |u|=5
*Entre todos los ángulos isósceles de perímetro 30 cm ¿ cual es el área máxima?
Un saludo y gracias
Unicoos tengo un problema
Estoy estudiando ecuaciones diferenciales, la parte de tasa de crecimiento/decrecimiento de poblacion, mi problema es que no INTERPRETO lo que hago, los ejercicios las hago de memoria
Alguien me explica este modelo "dP/dt=kP"
No interpreto la razón en la que se usan las diferenciales, los libros que he leido solo me lanzan ese modelo matematico para aplicarlo, pero no llego a entender lo que hago a pesar de que llegue al resultado
Saludos
tengo una duda ,cuando opero por sustitucion en un ejercicio de polinomios ,al hacer luego ruffini si trabajo con la raiz tendria que darme cero .pero ami eso no me da ,tengo error al sustituir o que sera ????

Sabemos que -2 es raíz del polinomio, por lo que planteamos:
Q(-2) = 0, evaluamos en la expresión del polinomio y queda
-16 + 4b -2c - 4 = 0, operamos y queda la ecuación:
4b - 2c = 20.
Sabemos que el polinomio evaluado para 2 es igual a 24, por lo que planteamos:
Q(2) = 24, evaluamos en la expresión del polinomio y queda:
16 + 4b + 2c - 4 = 20, operamos y queda la ecuación:
4b + 2c = 12.
Por lo tanto, para obtener los valores de los coeficientes b y c, planteamos el sistema de ecuaciones:
4b - 2c = 20
4b + 2c = 12
cuya solución es ( queda para que hagas las operaciones necesarias) b = 4, c = -2.
Por lo tanto:
Q(x) = 2x^3 + bx^2 + cx - 4 = 2x^3 + 4x^2 - 2x -4.
Espero haberte ayudado.
Hola. En estos momentos me estoy complicando con un ejercicio de estadística de Distribución Normal, y me desearía recibir vuestra ayuda sobre como hacerlo y sobre como entender la pregunta. Puesto que calculé las probabilidades para x>=80 y x>=75 y no obtuve el resultado que dice el solucionario. La verdad es que no me quedó muy claro qué es lo que quieren que uno calcule.
El ejercicio dice:
"En una tienda de descuentos la demanda diaria de acumuladores para automóviles se calcula mediante una distribución normal con media de 50 acumuladores que tienen una desviación estándar de 10. En dos días consecutivos se venden 80 y 75 acumuladores respectivamente. Si estos días son típicos, ¿qué tan probable es que , bajo las suposiciones dadas, se vendan 80 o más y 75 o más acumuladores?"
El resultado se supone que debiera dar una probabilidad de 0.000008.
Desde ya muchas gracias por vuestra ayuda!

Muchas gracias César. Agradezco mucho tu ayuda. Ahora me ha quedado más claro.
Por cierto, estoy leyendo y estudiando el libro de Proabilidad y Estadística de Canavos, donde aparece este ejercicio. ¿Tienes de casualidad alguna fuente con soluciones como esa de los ejercicios de ese libro que me recomiendes para que así yo pueda consultar cuando me encuentre con ejercicios que me compliquen? De ese modo evito venir para acá al foro a pedir ayuda a cada rato. Te lo agradecería muchísimo. Ya que en varios ejercicios me han aparecido dudas.
Gracias nuevamente.
Podemos usar el teorema del seno Trigonometria- Teorema del seno
sen(20º)/25=sen(α)/12 de donde sen(α)=0.1642 => α=9.451º. Como los 3 angulos suman 180º β=180-9.451-20=150.549º
sen(9.451º)/12=sen(150.549º)/x despejando x=35.93