Foro de preguntas y respuestas de Matemáticas

logo beUnicoos
Los foros de unicoos se han unificado en nuestra nueva plataforma beUnicoos. Para dejar nuevas preguntas deberás hacerlo allí, donde además podrás encontrar nuevas asignaturas y herramientas para ayudarte más con tus estudios.

  • icon

    Paola
    el 9/8/16

    Hola,

    Necesitaría saber si el ejercicio que adjunto es correcto.

    Gracias!

    replythumb_up0 voto/sflag
    icon

    David
    el 10/8/16

    Perfecto!

    thumb_up0 voto/sflag
  • icon

    Sebastián
    el 9/8/16

    Hola a todos. Necesitaría ayuda para resolver un ejercicio.
    Es posible encontrar una función continua talque:
    F(-3)= 5
    F(3)= -7
    F´(x) es menor que -1 para todo X perteneciente al intervalo cerrado -3,3
    ¿Por qué si o por qué no?
    Y tengo una duda, que F´(x) es menor que -1 para todo X perteneciente al intervalo cerrado -3,3, que significa eso? Alguien me lo podría graficar?

    Muchas gracias

    replythumb_up0 voto/sflag
    icon

    Antonius Benedictus
    el 9/8/16

    Te lo explicamos, Lucas. de todos modos, no estaría mal que revisases el enunciado.

    thumb_up1 voto/sflag
  • icon

    Paola
    el 9/8/16

    Hola,

    Tengo una consulta sobre el concepto de continuidad para funciones. Es correcto decir que una función es continua en un punto "a" si ese punto pertenece al dominio de la función y además los valores funcionales de una sucesión (xsubn) se acercan a los valores funcionales de f(a) (esto sería tanto por derecha como por izquierda).
    ¿Esto es correcto?
    ¿Está completa la definición de continuidad?

    Gracias!

    replythumb_up0 voto/sflag
    icon

    Antonius Benedictus
    el 9/8/16

    Correcto, pero hay que poner "de cualquier sucesión x_n que se acerca a a"

    thumb_up0 voto/sflag
  • icon

    Adrian
    el 9/8/16

    Hola chicos, me guiarían un poco con este ejercicio? Me pide construir el triangulo abc dados los lados b y c y la altura correspondiente al lado bc. Justificar e indicar las condiciones de posibilidad. Se que son 3 casos según el triangulo pero no entiendo como hacer este ejercicio, graciasss

    replythumb_up0 voto/sflag
    icon

    Antonius Benedictus
    el 9/8/16

    Foto del enunciado original, por favor.

    thumb_up0 voto/sflag
    icon

    Jordi García
    el 9/8/16

    ¿Las condiciones de posibilidad de qué?
    Si es por los tipos de triángulos que existen ten en cuenta que tenemos según sus ángulos (obtusángulo, rectángulo y acutángulo) o según sus lados (equilátero, isósceles y escaleno).
    En este caso tendrías que hacer un tabla para ver las diferentes combinaciones. Te adjunto la tabla y saca tú tus propias conclusiones.

    thumb_up1 voto/sflag
  • icon

    magui
    el 9/8/16
    flagflag

    Nose porque no se ve, ∑(ix+25)=42900, debajo de la ∑ hay un i=1 y arriba de la ∑ hay un 100. No se si entenderán, gracias de todas formas.

    replythumb_up0 voto/sflag
    icon

    David
    el 10/8/16

    Me encantaría ayudarte, pero no respondo dudas universitarias que no tengan que ver específicamente con los videos que ya he grabado como excepcion. Lo siento de corazón… Espero lo entiendas

    thumb_up0 voto/sflag
  • icon

    magui
    el 9/8/16

    Hola unicoos, me ayudarían con el ejercicio b) Determinar el valor de x que satisface . Gracias.

    replythumb_up0 voto/sflag
    icon

    Axel Morales Piñón.
    el 9/8/16

    No se ve nada Magui:-(

    thumb_up1 voto/sflag
  • icon

    Daniel Pineda
    el 9/8/16

    probar que AcC si y solo si A u ( B n C) = ( A u B) n C

    c indica contenido
    u union
    n interseccion

    GRACIAS

    replythumb_up0 voto/sflag
    icon

    Antonius Benedictus
    el 9/8/16

    Pon foto del enunciado original, Daniel.

    thumb_up0 voto/sflag
  • icon

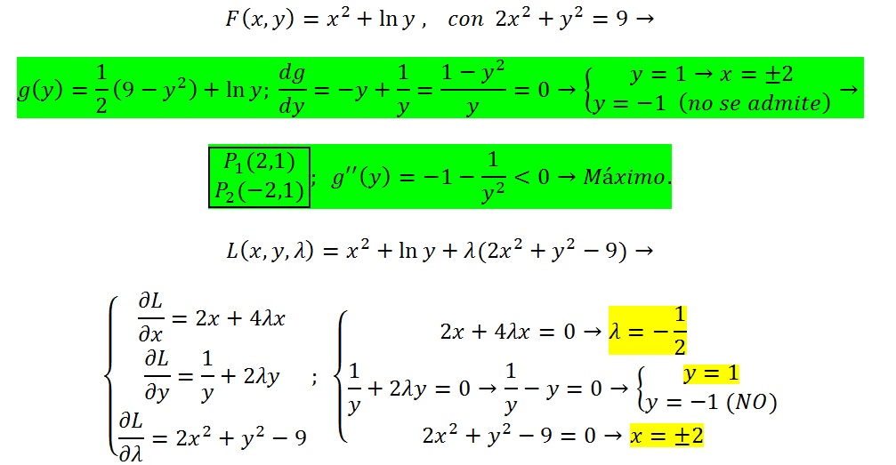
    Sus
    el 9/8/16

    Hola unicoos!
    los óptimos del siguiente problema:

    opt. x²+lny
    s. a 2x²+y²=9
    me da: (2,1,1/2) y (0,3,1/8).
    Os da igual que a mi?
    Muchas gracias

    replythumb_up0 voto/sflag
    icon

    Antonius Benedictus
    el 9/8/16

    De dos formas, Luigi:

    thumb_up1 voto/sflag
    icon

    Sus
    el 9/8/16

    muchas gracias, lo he repetido pero me da
    (2,1,1/2) y (-2,1,1/2) no -1/2 como a ti...

    thumb_up0 voto/sflag
  • icon

    Sus
    el 9/8/16
    flagflag

    Hola!
    del programa de optimización
    opt. XY+XZ+YZ
    s. a X+Y+Z=6
    X−Y=1
    el punto critico que me da es (5/2, 3/2, 2; 4,−1/2) y es un máximo local estricto. ¿esta bien?
    muchas gracias!

    replythumb_up0 voto/sflag
    icon

    David
    el 10/8/16

    Me encantaría ayudarte, pero no respondo dudas universitarias que no tengan que ver específicamente con los videos que ya he grabado como excepcion. Lo siento de corazón… Espero lo entiendas

    thumb_up0 voto/sflag
  • icon

    Alejandro Gil Gil
    el 9/8/16

    Alguien me puede resolver este ejercicio, me sería de gran ayuda.

    replythumb_up0 voto/sflag
    icon

    Antonius Benedictus
    el 9/8/16

    Te va el primero, Alejandro:

    thumb_up1 voto/sflag
    icon

    Antonius Benedictus
    el 9/8/16

    Ahora, el segundo:

    thumb_up1 voto/sflag