Hola, necesito ayuda con un ejercicio de triángulos rectángulos, me dan la hipotenusa (√3 cm) y el cateto adyacente (3 cm) y me piden calcular el cateto opuesto, para ello utilizo la formula c.o= √hip^2 - c.a^2. Pero al final me queda √-6 cm^2, lo cual no tiene solución. Qué estoy haciendo mal? muchas gracias de antemano
La hipotenusa no puede ser más pequeña que el cateto, en todo caso la hipotenusa tendría que valer 3 y el cateto adyacente raíz de 3.
Entonces si aplicas la misma fórmula (raíz de la hipotenusa al cuadrado menos el cateto al cuadrado) tendría que darte que el cateto opuesto mide raíz de 6 cm.
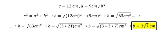
Hola, necesito ayuda con un ejercicio de triángulos rectángulos, me dan la hipotenusa (12 cm) y el cateto adyacente (9 cm) y me piden calcular el cateto opuesto, para ello utilizo la formula c.o= √hip^2 - c.a^2. al final me queda c.o= √63 cm^2, mi pregunta es: cómo puedo simplificar ese valor de modo que me quede en cm y sin decimales?
Hola, me podrían ayudar con este problema por favor. No lo entiendo muy bien. Espero su ayuda. Gracias.

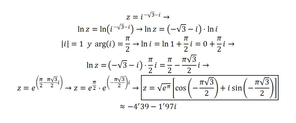
Debes tener en cuenta a la forma exponencial (o forma de Euler) para expresar a la unidad imaginaria:
i = cos(pi/2) + i * sen(pi/2) en forma trigonométrica principal
cuyo equivalente en forma exponencial es:
i = e^(i * pi/2)
Luego, si tomas logaritmos, llegas (con valor principal):
Ln(i) = i * pi/2.
Comencemos con el ejercicio, tomando logaritmo principal:
Ln(z) = (-V(3) - i) * Ln(i) (observa que hemos empleado la propiedad del logaritmo de una potencia)
luego reemplazamos y queda:
Ln(z) = (-V(3) - i) * i * pi/2
luego distribuimos y queda:
Ln(z) = pi/2 - i * V(3)*pi/2
observa que ya hemos obtenido el valor principal del logaritmo de z, componemos con la función exponencial y queda:
z = e^(pi/2 - i * V(3)*pi/2)
luego expresamos como producto de potencias con bases iguales y queda:
z = e^(pi/2 * e^(- i * V(3)*pi/2))
luego con la fórmula de Euler, expresamos en forma trigonométrica y queda:
z = e^(pi/2) * (cos(-V(3)*pi/2) + i * sen(-V(3)*pi/2))
y para llegar a la expresión de z en forma rectangular, solo te queda distribuir.
Espero haberte ayudado.

Has planteado bien al principio de la ecuación, ya que puede expresarse:
y ' - (4/x)*y = x^4 * e^x, con x distinto de cero
Luego tenemos:
P(x) = -4/x, cuya integral es (sin indicar su constante general):
Int(P(x)*dx) = -4 * lnx = ln(x^(-4))
y la opuesta de esta integral es:
-Int(P(x)*dx) = +4 * lnx = ln(x^4)
Luego, aplicas la fór^mula resolvente para esta clase de integrales y queda:
y = e^(ln(x^4) * Int(e^(ln(x^(-4)) * x^4 * e^x * dx + C)
luego resuelves las composiciones entre exponenciales y logarítmicas y queda:
y = x^4 * Int (x^(-4) * x^4 * e^x * dx + C)
luego resuelves el producto de potencias en el integrando (observa que es igual a uno) y queda:
y = x^4 * Int (e^x * dx + C)
luego integramos y queda:
y = x^4 * (e^x + C)
y, por último, distribuimos y tenemos la solución general de la ecuación diferencial:
y = x^4 * e^x + C * x^4, donde C es una constante.
Siempre es conveniente verificar la validez de la solución, para mayor seguridad, para ello derivamos y queda:
y ' = 4 * x^3 * e^x +x^4 * e^x + 4C * x^3
luego vamos a la ecuación diferencial original (lo haremos término a término):
para el primer término:
x * y' = x * (4 * x^3 * e^x +x^4 * e^x + 4C * x^3) = 4 * x^4 * e^x + x^5 * e^x + 4C ~ x^4
para el segundo término (sin el signo negativo):
4*y = 4 * ( x^4 * e^x + C * x^4) = 4 * x^4 * e^x + 4C * x^4
y, para terminar, restamos los dos términos tal como vemos en la ecuación, y queda:
x * y ' - 4*y = 4 * x^4 * e^x + x^5 * e^x + 4C * x^4 - (4 * x^4 * e^x + 4C * x^4) = distribuimos el signo en el agrupamiento de términos y tenemos:
= 4 * x^4 * e^x + x^5 * e^x + 4C * x^4 - 4 * x^4 * e^x - 4C * x^4) =
= x^5 * e^x
con lo que queda verificada la validez de la solución general.
Espero haberte ayudado.
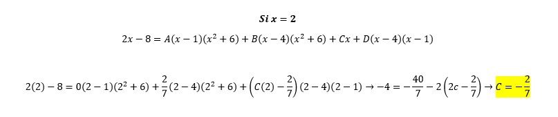
Hola queria saber si me pueden ayudar con el siguiente problema de funciones parciales
2x-8 / (x²-5x+4)(x²+6)
No e podido resolverlo, intente factorizar lo de abajo para poder empezar pero solo me salen 3 cosas abajo | como yo lo deje 2x-8 / (x-4) (x-1) (x²+6) para luego que quede
A / (x-4) + B / (x-1) + C/ (x²+6) creo que ya estoy mal porque en el libro viene 4 resultados
0 , -2/7 , -2/7, 2/7 y no como llegar a esos resultados.
quisiera ayuda con este problema por favor :
pepe y luchin son encuestadores y entablan la siguiente conversacion:
Pepe: Por cada 5 personas adultas que encuestaba, 3 eran varones; y por cada 5 niños, 3 eran mujeres adultas.
luchin. Pero yo encuestaba 2 varones adultos por cada 3 mujeres adultas; y 4 mujeres adultas por cada 5 niños.
Pepe: Aunque parece mentira encuestamos igual numero de personas. Ademas, mi cantidad de mujeres es a mi cantidad de varones como 87 es 88.
Luchin: Y en la relacion de 12 a 13 en mi caso.
Pepe: ¡Oye!, te das cuenta que entreviste 90 mujeres adultas menos que tu.
segun esta charla, calcule:
a= cantidad de niños varones
b= cantidad de varones adultos que entrevisto luchin
c= cantidad de personas adultas que entrevisto pepe