Hola de nuevo amigos de unicoos, quiero que me ayudeís no entiendo como resolverlo porque es algo diferente a los demás, es un calculo de área....
El enunciado dice:
* Hallar el área límitada por las curvas y rectas que se indican.
Un sector circular de radio "r" y ángulo "α" .
Sol. {1/2 r² α }
Gracias de antemano
Hola unicoos, temgo una duda respecto a las áreas bajo una función o curva
¿Es posible hallar el área bajo la función parte entera entre dos intervalos?
Me parece que no porque la función no es continua.
Gracias de antemano...
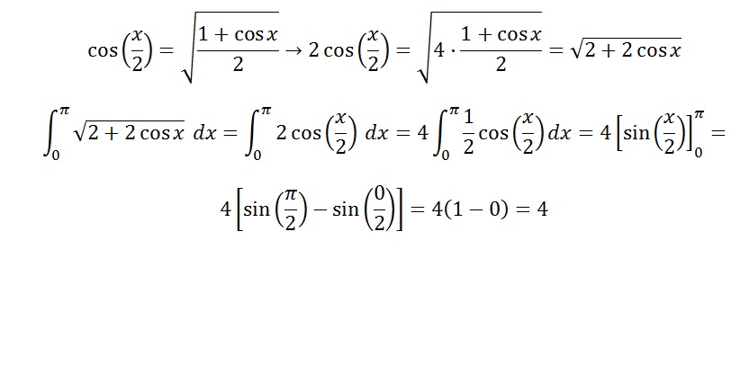
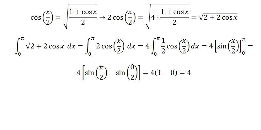
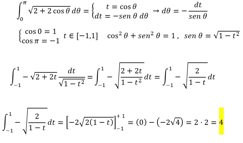
Hola nuevamente amigos de unicoos, me podrían ayudar con la siguiente integral definida, por favor, creo que tengo mas problema integrando el radical. Gracias de antemano..
¿ Me podrían recomendar algunos libros de problemas resueltos de álgebra lineal en versión pdf ? Me atranco en muchos ejercicios y necesito tal ayuda.
Estudio el grado en matemáticas en la universidad de Sevilla.
Gracias por adelantado ¡¡
Buenas tardes, estoy un poco atascado con la solución de este ejercicio.
Según el límite cuando x se acerca a -3 por la izquierda debería ser -∞
Pero por más que lo resuelvo a mí siempre me da 1/2
lim x→-3^- (x / √x^2 - √9) = x / x - 3 = -3 / -3 - 3= 1/2
He intentado multiplicar y dividir por el conjugado (me da 0), derivar (me da 1/-0,28)
Estoy un poco desesperado porque se supone que la solución es que en la expresión el límite no existe porque lim x→a+ f(x) ≠ lim x→a- f(x)
En fin, no sé qué diferencia hay cuando se acerca por la derecha o por la izquierda, a mí el límite siempre me da el mismo, 1/2
Si me pudieran ayudar, gracias

Debes tener en cuenta que al simplificar una raíz con índice par, con una potencia con exponente par, te queda valor absoluto del argumento.
V(x^2) = |x|
y si x tiende a -3, la expresión anterior tiende a |-3| = 3,
luego el denominador del argumento del límite tiende a cero.
Espero haberte ayudado.
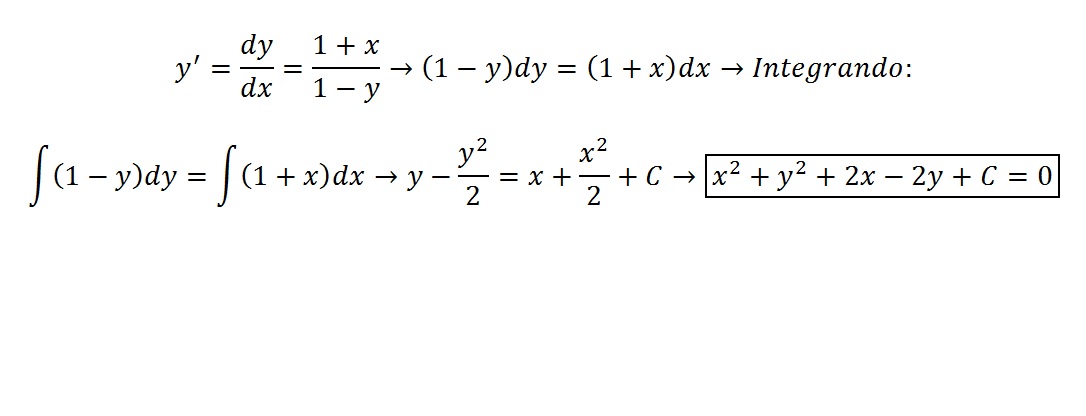
Hola amigos de unicoos me podrían de favor ayudarme con un problema de calculo.
*Halle la ecuación de la familia de curvas tales que la pendiente de la tangente en un punto cualquiera es:
(1+x)/(1-y)
La solución es una circunferencia....... x²+y²+2x-2y=C
De antemano mil gracias..