buenas disculpen amigos me podrían ayudar a resolver este ejercicio por favor con aplicación de mínimos y máximos derivando. e intentado pero no me sale el resultado gracias si es posible de antemano esta es la ecuación que e sacado pero nose si estará bien tarifa =( (valoroperación -50000)/1000)*(30-0.375) + 30 como logro llegar a una ecuacion para derivar o esta formula b= (x-50000) [30-0.375(x-50000)/1000] porfavor necesito su ayuda
Hola amigos de unicoos, alguien me podría ayudar con un problema en la cte. de integración.. tengo que hallar la ecuación de la curva tales que la pendiente de la tangente en un punto cualquiera tiene el valor indicado.
dy/dx=-xy (x,y)->(0,2)
Sol. y=2(e)^(-x²/2)
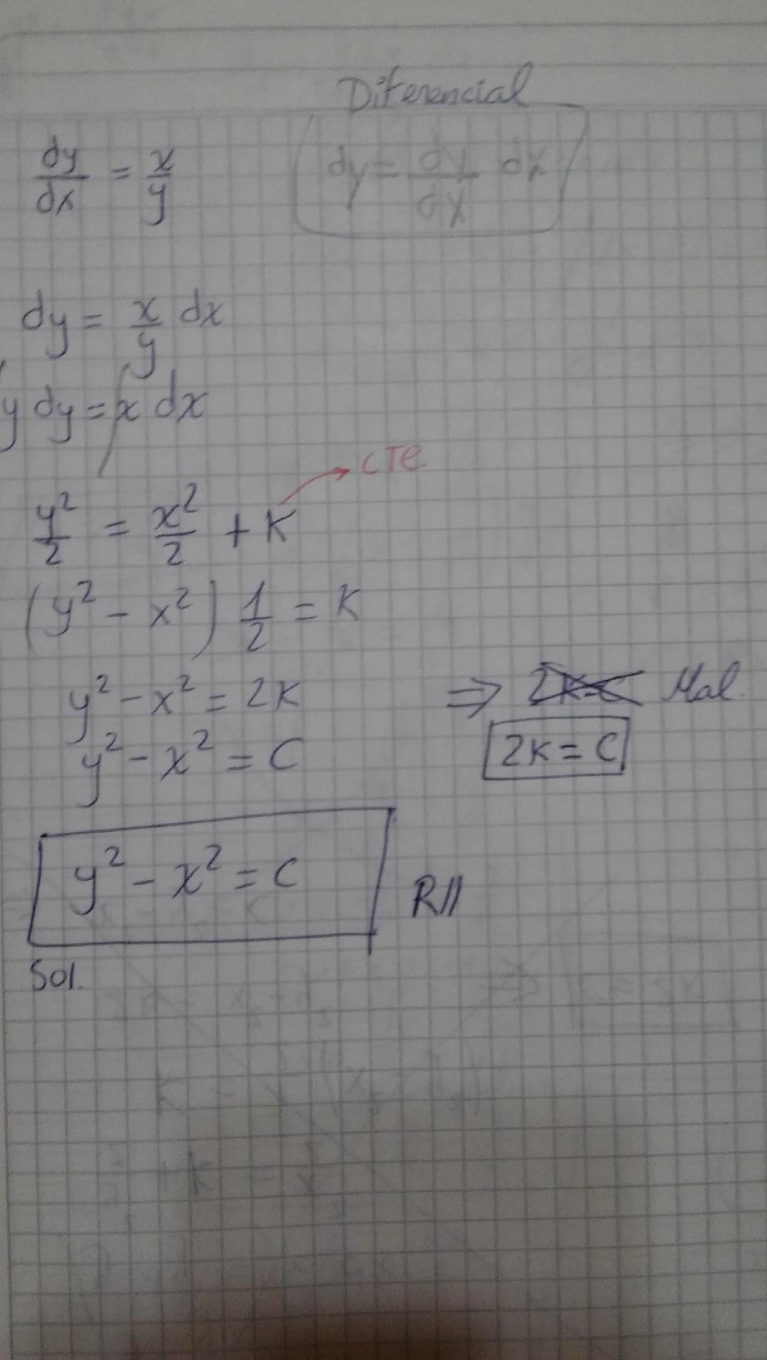
Hola amigos de unicoos, alguien me podría ayudar con un problema en la cte. de integración.. tengo que hallar la ecuación de la familia de curvas tales que la pendiente de la tangente en un punto cualquiera tiene el valor indocado.
dy/dx=(-y/x)
Sol. xy=C
Un cirio tiene doble diametro del diametro de otro. Estos cirios, que son de igual calidad y de igual longitud se encienden al mismo tiempo y al cabo de una hora difieren en 24 cm. Transcurrida media hora mas, la longitud de uno es el triple de la longitud de otro. ¿Que tiempo dura el cirio mas grueso?
por favor necesito saber si la respuesta a este problema es 8 horas con 15 minutos .
hola!!! por fa alguien me enseña que es lo que tengo que tener en cuenta cuando me den estos tipos de funciones para sacar puntos de inflexión y concavidad? se que hay que hacerlos con la segunda derivada pero lo que no se es en que fijarme o que igualar a cero
Para los puntos de infleccion igualas la segunda derivada a cero, de los valores que te salgan esos valores reemplazas en la ecuacion original y te dan las coordenadas de los puntos, ademas para la concavidad, los valores que te hayan salido, los pones a cada uno en una recta y vas evaluando en la segunda derivada valores cercanos tanto a la izquierda como a la derecha. Ojala te sirva :)
Hola amigos de unicoos, les pido ayuda con una integral por favor.
∫ Cos [ln (2x+a)] dx
hay tres alternativas que nos dió el profesor...
a.) (1/4)(a+2x)[Sen (ln (a+2x)+Cos(ln(a+2x))]+C
b.) (1/4)(a+2x)[Cos (ln (a+2x)+Cos(ln(a+2x))]+C
c.) (1/4)(a+2x)[Cos (ln (a+2x)+Sen(ln(a+2x))]+C
d.) Ninguna de las anteriores
Gracias de antemano unicoos :)
hola!!! por fa alguien me enseña que es lo que tengo que tener en cuenta cuando me den estos tipos de funciones para sacar puntos de inflexión y concavidad? se que hay que hacerlos con la segunda derivada pero lo que no se es en que fijarme o que igualar a cero

En general es:
La primera derivada se iguala acero y se calculan los valores o valor para el que se cumple la igualdad.
El valor obtenido en la igualdad que se ha dicho se sustituye en la segunda derivada, y si el resultado es positivo tenemos un mínimo; si es negativo tenemos un máximo.
Un Saludo.