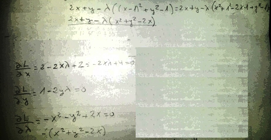
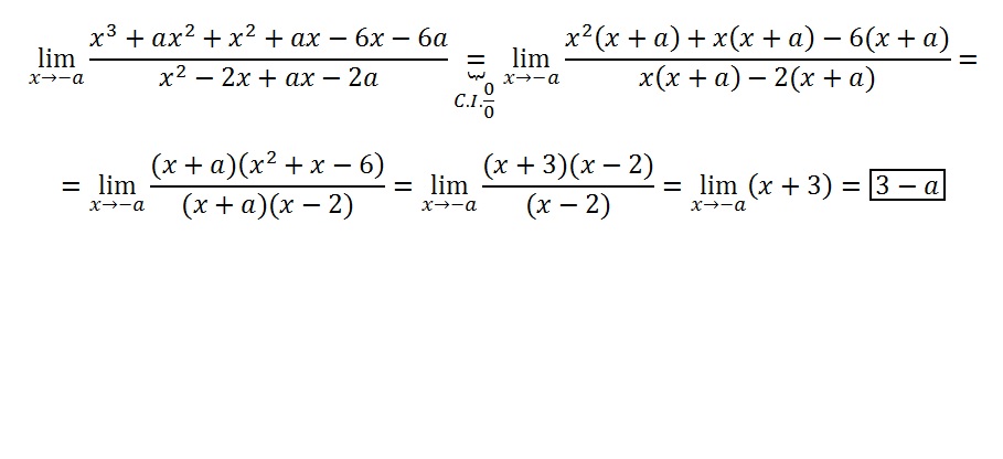
Hola Unicoos,
tengo un ejercicio con derivadas parciales, lo he resuelto según la foto pero el resultado final, tras despejar todas las incognitas da mal. ¿Es posible sacar las tres derivadas parciales de otra forma? ¿y sin despejar el cuadrado de la suma de la función original?
Muchas gracias

Debes revisar la derivada parcial con respecto a x, te faltó un factor lambda en su último término, queda: 2 - 2xL +2L = 0 (L indica lambda).
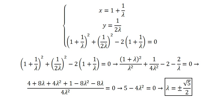
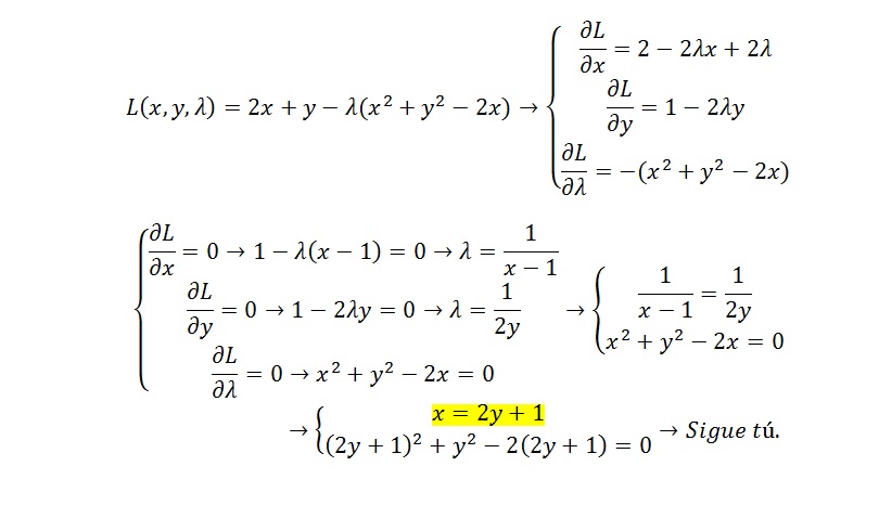
Una vez constituido el sistema de tres ecuaciones con tres incógnitas, puedes comenzar con la segunda ecuación:
1 - 2yL = 0
haces un pasaje de término y queda:
- 2yL = -1
multiplicas por -1 en ambos miembros y queda:
2yL = 1
Ahora observa: y no puede ser igual a cero, tampoco L puede serlo, porque conducirían a una igualdad absurda, por lo tanto puedes despejar el multiplicador y queda:
L = 1/(2y)
Luego sustituyes en la primera ecuación, simplificas en cada término y queda:
2 - x/y + 1/y = 0
y como ya hemos precisado que y no es igual a cero, puedes multiplicar por y en todos los términos y queda:
2y - x + 1 = 0,
de donde puedes despejar x y queda:
x = 2y + 1
Solo te queda sustituir en la tercera ecuación y despejar y (te quedarán dos valores, que te conducirán a dos puntos distintos, cada uno con su multiplicador).
Espero haberte ayudado.
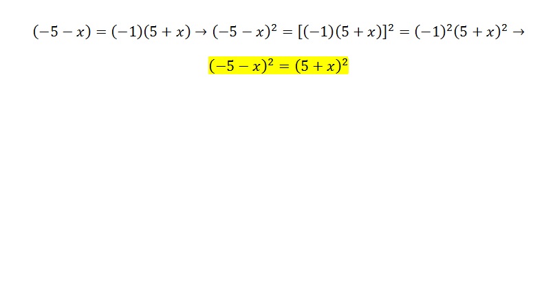
Hola,
¿por que (-5-x)² es el cuadrado de una suma y no de una resta??
gracias
hola unicos!!! cuanto seria la derivada de esto? 3 cos (2x)^2 ???

Hay (11 sobre 2)=55 muestras posibles de tamaño 9
0,1,2,3,4,5,6,7,8
0,1,2,3,4,5,6,7,9
0,1,2,3,4,5,6,8,9
.......
1,2,3,4,5.6,7,8,9
....
2,3,4,5,6,7,8,9,10
Los promedios van de 36/9=4 a 54/9=6 , uniformemente repartidos.:
0+1+2+....+10=55
55-19, 55-18, 2(55-17), 3(55-16),...., 3(55-4), 2(55-3), 55-2, 55-1
Por tanto, la suma de todos ellos es 55·5.
Hola, me ayudan con este problema:
Ana tiene 5 años mas que que Carla, y la suma de sus edades es igual a la edade de carla mas 10. ¿Cuantos años tiene cada una?

Puedes comenzar por llamar "a" a la edad de Ana, y "c" a la edad de Carla:
Luego, a partir del enunciado:
"Ana tiene cinco años más que Carla" se corresponde con la ecuación: a = c + 5;
y "la suma de sus edades es igual a la edad de Carla más 10" se corresponde con la ecuación: a + c = c + 10.
Luego, te queda resolver el sistema de dos ecuaciones con dos incógnitas.
Espero haberte ayudado.