Unicoos, una consulta nuevamente,
Me pueden decir por favor si están bien analizados los puntos críticos de esta función?Muchas gracias
Si f(x)=x-1/x solo tiene un punto crítico en x=0 pues f(0)=∞
Si hallamos f´(x)=1+1/x² esto nos dice que f´(x)>0 ∀x≠0 la función es creciente siempre no hay Max, ni Min.
No debes confundir las raices con los puntos críticos.
Los puntos críticos en cálculo se definen como:
un punto crítico de una función de una variable real es cualquier valor en el dominio en donde la función no es diferenciable o cuando su derivada es 0
hola Unicoos !! tengo 2 ejercicios de interés simple y compuesto y no puedo llegar al resultado. estos son los enunciados:
interés simple: un inquilino pago $3020 de alquiler el ultimo mes. El contrato establece un interés punitorio del 15% anual. Siendo el alquiler normal de $ 2900. Con cuantos días de demora pago?? (utilizar año=365 días).
interés compuesto: cual sera el monto proveniente de una inversión de $ 236000 durante 18 años si las tasas de interés nominal anuales son 5,3% para los primeros 8 anos; 6,2% para los 6 años siguientes y 7,1 % para los últimos años?.
Gracias, Valeria.-

¿Has visto este vídeo? Interes Simple y Compuesto
A partir de ahí, se trata de que DESPUES DE IR A CLASE (ver los vídeos relacionados con vuestras dudas) enviéis dudas concretas, muy concretas. Y que nos enviéis también todo aquello que hayais conseguido hacer por vosotros mismos. Paso a paso, esté bien o mal. No solo el enunciado. De esa manera podremos saber vuestro nivel, en que podemos ayudaros, cuales son vuestros fallos.... Y el trabajo duro será el vuestro. #nosvemosenclase Nos cuentas ¿ok?
Hola Unicooos!. Me pueden decir por favor si el dominio de f(x)=x-1/x son todos los reales tal que sea distinto de cero?
Muchas gracias
En el ejercicio 32 tengo una pregunta: ¿Se puede operar directamente con dos puntos para sacar todas las ecuaciones de la recta o hay que usar un único punto y un vector ? En cualquier caso, ¿ cómo puedo obtener el vector que necesito para sacer los todos los tipos de ecuaciones de la recta?

Hola.
Para hayar una recta necesitas 2 puntos o un punto y un vector. Además, puedes hayar el vector de la recta que pasa por los puntos A y B restando las coordenadas de A y B; es decir, vector director de la recta r que pasa por A, B = (-4, 2). Una vez tienes vector director y dos puntos, solo tienes que componer las diferentes ecuaciones de la recta.
Ecuacion de la recta en R²

Debes plantear el vector normal general para la superficie (que nos permitirá llegar al vector normal del plano tangente):
N = < fx , fy , -1 > = < 2x , -2y , -1 >
Luego, observa que también tienes el vector normal del plano paralelo:
Np = < 1 , 2 , -1 >
Luego, como nos indican que el plano tangente es paralelo al plano dato, podemos considerar que sus vectores normales son paralelos, y por tanto uno es múltiplo del otro; y si observas los dos vectores tienen sus terceras componentes iguales, por lo tanto tenemos que deben ser iguales:
2x = 1, de donde tenemos x = 1/2
-2y = 2, de donde tenemos y = -1
y para la tercera coordenada, evaluamos en la expresión de la función:
z = f(1/2 , -1) =(1/2)^2 - (-1)^2 = 1/4 - 1 = -3/4.
Por lo tanto, el punto de tangencia (o de contacto) es:
Po(1/2 , -1 , -3/4).
Espero haberte ayudado.
¡Hola UNICOOS!
¿Podéis ayudarme en estos dos ejercicios?
1) ¿Tiene alguna raíz racional el polinomio P(x) = 1 + x^2 + x^7?
2) Calcula las raíces racionales del polinomio P(x) = 2 - 3x - 3x^2 + x^4.
Con Ruffini (https://youtu.be/Kn15S7w4IA8) he llegado a la conclusión de que el primero no tiene solución y de que la raíz del segundo es 2.
En el cuadernillo me dicen la siguiente explicación:
Si el número racional z = r/s, donde r y s son números enteros primos entre sí, es raíz del polinomio cuyos coeficientes son números enteros, entonces, r divide a a^0(término independiente) y s divide a a^n(coeficiente director).
¿Cómo podría resolverlo utilizando la explicación?

Para el ejercicio 1:
r divide a 1 (observa que a0 = 1), por lo tanto los valores posibles para r son -1 y 1;
s divide a 1 (observa que el coeficiente principal (director) es a7 = 1, por lo tanto los valores posibles para s son -1 y 1.
Por lo tanto, si el polinomio tiene raíces racionales, éstas podrían ser:
a = -1 o b = 1, que resultan de efectuar las divisiones r/s.
Por último, evaluamos el polinomio y tenemos:
P(1) = 3 distinto de cero, por lo que 1 no es raíz del polinomio;
P(-1) = 1 distinto de cero, por lo que -1 no es raíz del polinomio;
por lo que tenemos que el polinomio no admite raíces racionales.
Para el ejercicio 2:
r divide a 2 (observa que a0 = 2), por lo tanto los valores posibles para r son -2, -1, 1 y 2,
s divide a 1 (observa que el coeficiente principal (director) es a4 = 1, por lo tanto los valores posibles para s son -1 y 1.
Por lo tanto, si el polinomio tiene raíces racionales, éstas podrían ser:
a = -2, b = -1, c = 1 o d = 2, que resultan de efectuar las divisiones r/s.
Por último, evaluamos el polinomio y tenemos:
P(-2) = 12 distinto de cero, por lo que -2 no es raíz del polinomio;
P(-1) = 3 distinto de cero, por lo que -1 no es raíz del polinomio;
P(1) = -3 distinto de cero, por lo que -1 no es raíz del polinomio;
P(2) = 0, por lo que 2 si es raíz del polinomio (tal como has verificado por medio de la regla de Ruffini).
por lo que tenemos que el polinomio admite una raíz racional solamente.
Espero haberte ayudado.
Buenos días. Necesito ayuda en este ejercicios sobre polinomios. Me pide que exprese el área sombreada con un monomio, pero solo consigo obtener polinomios. He usado dos métodos distintos y me dan dos distintas soluciones, ambas polinomios. ¿Podrían ayudarme?
PD: Todo lo que he mencionado está en la imagen adjunta (no es perfecta pero se entienden las proporciones).

Has comenzado bien, planteando el área del trapecio sombreado como diferencia entre el área del rectángulo y el doble del área de uno de los triángulos.
Observa bien cuáles son las dimensiones de cada una de las figuras:
Rectángulo:
Longitud de su base = 3x (observa que has consignado x^3)
Longitud de su altura = x
Área del rectángulo = 3x*x = 3 * x^2.
Triángulo:
Longitud de su base = x
Longitud de su altura = x
Área del triángulo = x*x / 2 = (1/2) * x^2.
Luego, vamos a tu planteo inicial y obtnemos la expresión para el área del trapecio sombreado:
A = 3 * x^2 - 2 * (1/2) * 2 = 3 * x^2 - x^2 = 2 * x^2, que es una expresión algebraica nonómica.
Espero haberte ayudado.
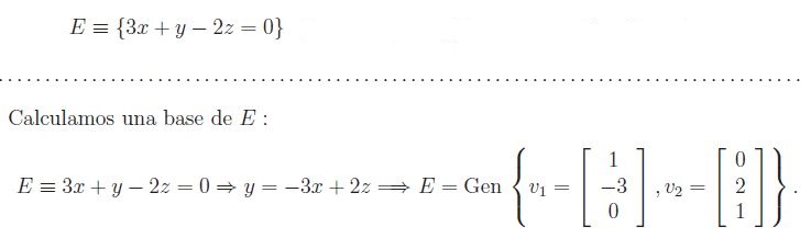
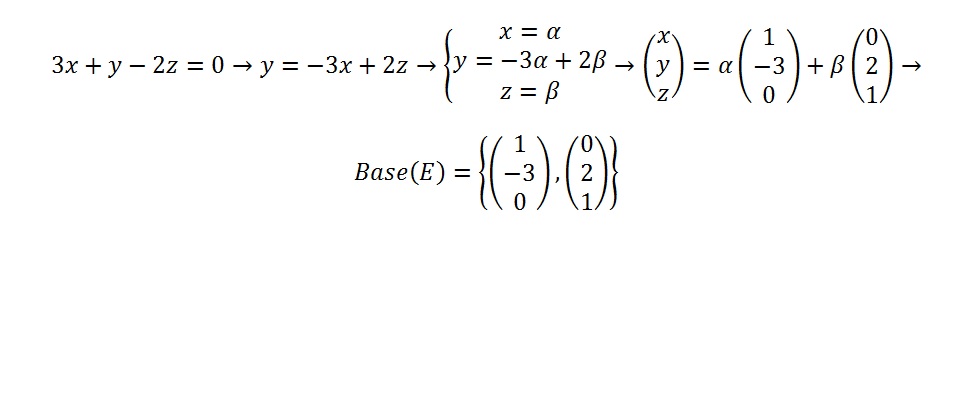
Buenos días. A ver si me ayudan con este ejercicio. Sólo es hallar una base de E. El caso es que yo he calculado el espacio nulo (escalonando la matriz por Gauss) y no sé por qué no me da la misma base. A ver si alguien me puede ayudar. Lo único que no entiendo es el proceso, cómo ha llegado a esa base.
Hola me podrían ayudar a resolver este ejercicio de algebra lineal, me piden hallar la determinante, de antemano gracias.

Debes tener en cuenta dos propiedades de los determinantes:
1) a una fila le puedes sumar o restar múltiplos de otras filas, y lo mismo vale para columnas.
2) si dos filas coinciden entonces el determinante es igual a cero, y lo mismo vale para columnas.
Por último, puedes intentar distintas operaciones, pero observa:
si a la columna uno la cambias por lo que se obtiene de sumarla con la columna tres y restarle la columna dos,
verás que queda un determinante equivalente nuevo, con su columna uno igual a su columna cuatro, por lo que resulta ser igual a cero.
También, podría haberse enunciado la siguiente propiedad:
3) si una fila es combinación lineal de otras filas (recuerda que combinación lineal es suma o resta de múltiplos), entonces el determinante es igual a cero, y lo mismo vale para columnas.
En tu ejercicio, puedes ver que la columna cuatro resulta ser la suman de columna uno más columna tres y luego la resta con la columna dos.
Es muy conveniente hacer ensayos en este tipo de ejercicio, hasta encaminarnos hacia una solución posible.
Espero haberte ayudado.