Unicoss- me piden determinar el valor del numero real de K de manera que las rectas r1 y r2 sean paralelas
r1 x/2 + y/k = 3
r2 x+y = 0
hola unicos
me puedes ayudar graficar esta funcion
f(x)=6x f(x)=-5x y=2x-5 y=3x+1
4 2
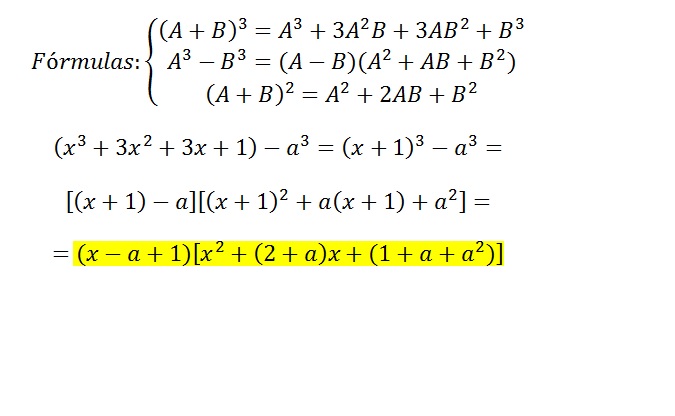
Hola Unicos como estas?, necesito resolver este ejercicio por factorizacion por agrupacion. Lo he tratado de hacer y no me sale
saludos
Hola, me pueden ayudar con el siguiente ejercicio
hallar el área de la región bajo las curvas de ecuación y=2x+1 , y=-x^2 +3 y sobre la parabola y=x^2 +1
mi duda es, el área seria la que esta en verde y rojo ? para integrar tendria que despejar x e integrar con respecto a y, primero haciendo la verde y la roja por separado ?

Primero observa que has dividido la región con un corte horizontal, y por tanto tenemos que R = Rverde u Rroja, de acuerdo a tu gráfico. Por lo tanto, el área de la región la vamos a plantear como suma de las dos áreas coloreadas: A = Av + Ar
Para la región coloreada en verde:
observa que si la subidvides en elementos horizontales de área, verás que "por la izquierda" siempre se encuentra la recta, y "porla derecha" siempre se encuentra la parábola con vértice en el punto de coordenadas (0,1). Con todo ésto, podemos determinar los límites de integración para x:
Recta: y = 2x + 1, ahora despejamos x y queda: x = (y - 1)/2
Parábola: y = x^2 + 1, ahora despejamos x y queda: x = V(y - 1)
por lo tanto, el intervalo de integración para x queda expresado: (y - 1)/2 <= x <= V(y - 1).
Para los límites de integracón para y, puedes observar que el punto "más bajo" de la región es el vértice de la parábola, cuya ordenada es y = 1
y que los puntos "más altos" tienen la misma ordenada que el punto de intersección entre las dos parábolas, por lo tanto podemos plantear el sistema de ecuaciones:
y = x^2 + 1
y = -x^2 + 3
lo resuelves por igualación, y obtendrás el punto de coordenadas (1 , 2)
con todo ésto, tenemos que el intervalo de integración para y es: 1 <= y <= 2.
Ya puedes plantear tu integral simple, con funciones de y, o tu integral doble, integrando primero la variable x.
Para la región roja:
Procedemos en la misma forma, y vemos que siempre se encuentra la recta "por la izquierda", y la parábola con vértice en el punto (0,3) "por la derecha", por lo que ya tenemos el intervalo de integración para x: (y - 1)/2 <= x <= V(3 - y).
Y para los límites de integración para x, ya vemos que los puntos "más bajos" de la región tienen ordenada y = 2, y que el punto "más alto" corresponde a la intersección entre la recta y la parábola, por lo tanto planteamos el sistema de ecuaciones:
y = 2x + 1
y = -x^2 + 3
luego puedes resolver por igualación, y obtendrás el punto de coordenadas: (-1 + V(3) , -1 + 2V(3))
por lo tanto, el intervalo de integración para y será: 2 <= y <= -1 + 2V(3).
Ya puedes plantear tu integral simple, con funciones de y, o tu integral doble, integrando primero la variable x.
Espero haberte ayudado.
hola, como se lee la siguiente funcion?: f: R²--->R / z= f (x;y)= x + y .Mas que nada quiero saber que significa "R²--->R". gracias!
1- Evalua lo que esta dentro del parentesis , osea factorizalo y despues has cuadro de signos para que se cumpla >0 para dominio
2- Deriva para maximos y minimos
3- Evalua donde la funcion es cero y donde esta no existe (Lo que hace que la funcion se indetermine) y esos mismos numeros criticos los evaluas en un cuadro de crecimiento y decrecimiento y te dara de donde crece o decrece.

Si planteamos que el argumento del logaritmo es igual a cero, podemos ver cuáles son sus raíces y factorizarlo:
x^2 + 6x + 10 = 0
luego con la fórmula resolvente, tenemos que sus raíces son:
x1 = -3 + i
x2 = -3 - i
como ambas no son reales, concluimos que el argumento nunca toma el valor cero, por lo que conserva el signo para todo valor de x, además, como el término principal (x^2) es positivo, tenemos que el argumento siempre es positivo.
Por lo tanto, la función tiene dominio R (conjunto de los números reales), ya que el logaritmo está definido para todo valor de x real.
Luego planteamos sus dos primeras derivadas:
f ' (x) = (2x + 6) / (x^2 + 6x + 10) (observa que el denominador siempre es positivo y distinto de cero, como hemos estudiado en los pasos anteriores)
f '' (x) = 2 > 0 para todo x real (observa que la gráfica es cóncava hacia arriba en todos sus puntos)
Luego planteamos la condición de posible extremo: f ' (x) = 0
(2x + 6) / (x^2 + 6x + 10) = 0 (observa que el denominador es positivo y distinto de cero como ya hemos visto, y podemos pasarlo como factor al segundo miembro)
2x + 6 = 0 * (x^2 + 6x + 10)
2x + 6 = 0, de donde despejamos y tenemos que:
x = -3 y concluimos que la función presenta un mínimo para x = -3, teniendo en cuenta que su gráfica es cóncava hacia arriba como hemos dicho antes;
por lo tanto tenemos:
Intervalo de decrecimiento: (-inf ; -3)
Intervalo de crecimiento: (-3 ; +inf)
la gráfica de f presenta un mínimo absoluto para x = -3, y f(-3) = 1.
Espero haberte ayudado.
Carina solo me gustaria recalcar que si de DOMINIOS y RANGOS se trata cuando no existe una raiz(Cantidad negativa dentro de una raiz PAR) se asume que la respuesta es todo los reales o en su defecto que no tiene solucion en los reales como puede ser en el caso de una ecuacion.
Saludos amiga.
Buenas! Necesitaría de sus ayudas un ratito :)... Qué libros me recomiendan para los siguientes temas? Busqué en varios que había utilizado para análisis matemático pero estos no los encuentro (a excepción de integrales que están por todos lados). Desde ya muuuuchas gracias, saludos desde Argentina!
INTEGRALES MÚLTIPLES DE UN CAMPO ESCALAR
Integral doble y triple. Definición. Cálculo. Interpretación geométrica. Integración sobre regiones no rectangulares. Coordenadas polares, cilíndricas y esféricas. El Jacobiano. Propiedades y aplicaciones de la integral. Resolución de problemas.
FUNCIÓN VECTORIAL
Álgebra. Límite. Continuidad. Derivada. Versores fundamentales, triedro intrínseco: versor tangente, normal y binormal. Curvas rectificables. Longitud de arco. Integral curvilínea. Propiedades y aplicaciones.
Resolución de Problemas de aplicación.