
Haz operaciones elementales con los coeficientes de las ecuaciones, hasta que se vaya 1 de las filas, entonces tendrás 4 incógnitas y 3 ecuaciones =1 parámetro. Resuelve el sistema compatible indeterminado en función del parámetro por ejemplo α, donde (x,y,z,t) = α (a,b,c,d) .Siendo (a,b,c,d) base del subespacio W

Debes resolver el sistema de ecuaciones, pero primero observa que es homogéneo por lo que siempre tiene solución. La resolución podría ser por sustitución, pero sería mucho más conveniente que la hicieses por operaciones elementales entre filas, o por el método de Gauss-Jordan.
Cuando resuelvas, observarás que el sistema tiene infinitas soluciones, y una de las formas de expresarlas es:
x = 6t
y = (22/15)t
z= (2/5)t
t pertenece a R (conjunto de los números reales)
Luego, puedes tomar un vector del subespacio incluido en el espacio vectorial R^4:
u = < x , y , z , t > perteneciente al subespacio que estamos tratando, por lo tanto:
u = < 6t , (22/15)t , (2/5)t , t > con t perteneciente al conjunto de los números reales,
luego puedes extraer el escalar t por propiedad del producto de escalar por vector y queda:
u = t * < 6 , 22/15 , 2/5 , 1 >
por lo que tenemos que todos los vectores del subespacio son múltiplos del vector que estamos viendo, por lo tanto su base será:
B = { < 6 , 22/15 , 2/5 , 1 >}, cuyo cardinal es |B| = 1, y por lo tanto la dimensión del subespacio es 1.
Espero haberte ayudado.
Buenas tardes, no consigo resolver un ejercicio y me gustaría que me ayudaran. Me resolvieron uno parecido pero este tiene un porcentaje y me lía.
Gracias de antemano.
"El precio de una vivienda que costó 300.000 euros se ha despreciado, hasta valer 240.000 euros, a razón de un 6% anual. ¿Qué tiempo transcurrió entre la compra y su posterior venta?"

Llamemos x a la cantidad de años transcurridos, y llamemos y al precio al inicio de cada año. Tenemos entonces:
y(0) = 300000 (precio inicial)
y(1) = 300000 - 300000*0,06 = 300000*(1-0,06) = 300000*0,94 = 282000 (observa que se ha conservado el 94% del valor anterior, y se ha perdido el 6% del mismo)
y(2) = 282000*0,94 = 300000*(0,94)^2 = 265080 (observa que se repite la observación anterior)
y(3) = 265080*0,94 = 300000*(0,94)^3 = 249175,2
luego, inferimos que para una cantidad de años transcurridos x tendremos que:
y(x) = 300000*(0,94)^x, con x expresado en años.
Luego, planteamos:
y(x) = 240000
300000*(0,94)^x = 240000
hacemos pasaje de factor y simplificamos, y queda:
(0,94)^x = 0,8
luego aplicamos logaritmos en ambos miembros
x * log(0,94) = log(0,8)
hacemos pasaje de factor, y obtenemos:
x = log(0,8) / log(0,94) = 3,6 años (aproximadamente).
Espero haberte ayudado.
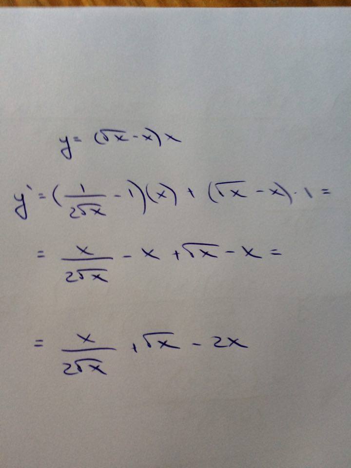
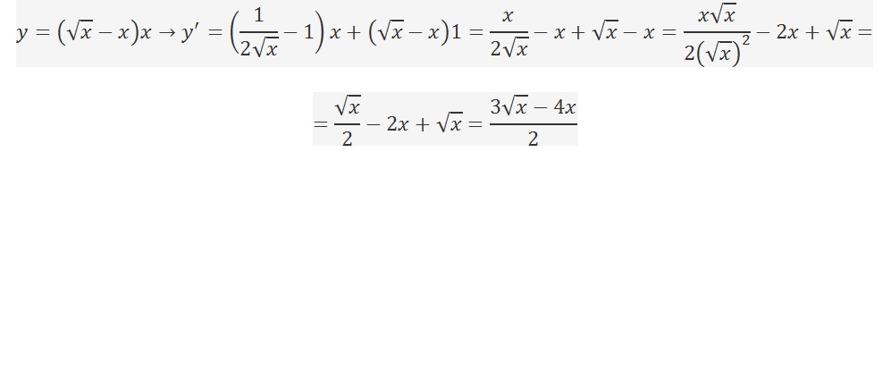
Hola, quisiera saber como hago para demostrar las derivadas trigonometricas mediante cociente incremental, si alguien tiene algun video donde se explique y me lo pueda pasar se lo agradeceria. QUE TENGAN LINDAS VACACIONES !!!!!!!!!!
Buenas tardes Antonio, espero que esté bien. Le adjunto un examen de cálculo final del primer curso de la carrera que voy a cursar, por si le interesa. El examen está en catalán, espero que no haya ningún problema para comprenderlo.
Lo cuelgo aquí en el foro por si algún alumo más quiere sacarle provecho.
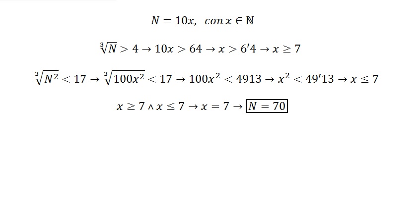
¿Podríais ayudarme a resolver este problema?
Un número entero es múltiplo de 10, su raíz cúbica es mayor que 4 y la raíz cúbica de su cuadrado es menor que 17. ¿De qué número se trata?
Probando con los múltiplos de 10 la solución me ha dado 70. ¿Alguien sabría plantear una ecuación?