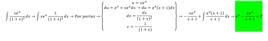
Hola uncioos. Pido únicamente ayuda a dos personitas que han ayudado un montonzazo. a Peter Pan y a mi estimado profesor Antonino Benito García quiero que me ayude con alguna aportación.-
Peter Pan en este ejercicio, lo habias resuelto hace un tiempo, quiero saber que técnica o tip empleaste por favor.
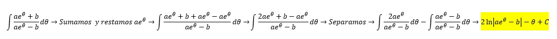
Yo personalmente lo hubiese resuelto sumando y restando b , pero no me da. ¿Integrar por partes? ¿Se podrá?
En cambio mi profesor lo resuelve dividiendo, quedando una división inexacta, pero se hace mas largo y laborioso, no es que no comprenda el método de mi profesor, si no que mas me gusta tu método, tengo examen la otra semana y quiero pegarle a la nota máxima, por eso pido auxilio a ustedes los que saben. Gracias de antemano. Besos y Saludos.

Hola Sandy, muy buenos días, Integrar por partes, restando y sumando "b" no es posible, mucho menos usando división ya que resulta un proceso tedioso y no queda algo bueno y fácil de integrar, , simplemente hay que sumar y restar la (ae^θ)...
Esperando que mi amigo Antonio responda para que tengas un punto de vista diferente :-)
Saludos y practicando y practicando obtendrás la nota máxima ¡Éxito Sandy!
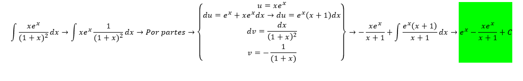
Mírate este otro ejemplo, y me cuentas tus dudas ¿ok? :-)

Hola Sandy. Para estos trucos algebraicos no hay una fórmula estándar que se pueda enseñar. Solamente, después de haber visto muchos y realizado otros tantos, tiene uno la "ocurrencia" de usarlos. De todos modos, si usas adecuadamente los métodos clásicos ya puedes estar satisfecha.
Hola, me dan una mano con este ejercicio?
Me dice hallar las ecuaciones implicita y segmentaria del plano que cumple con:
Pasa por (2,3,-4) y es paralelo a 4i+2j y a 2i-j+k
Lo que hice fue la ecuacion vectorial que me queda (x,y,z)=(2,3,-4)+ α(4,2,0) + β(2,-1,1)
Pero de ahi nose como pasarlas a las formas que pide, gracias!!
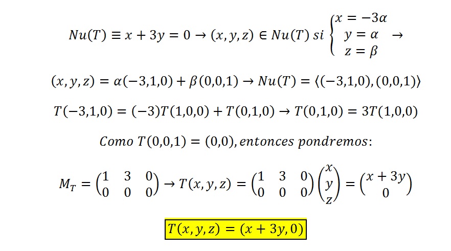
holaa, me podrian ayudar con el punto 2 y el 4? por si no se lee, dejo los enunciados
2)hallar la transformacion lineal T:R3->R2 que verifique: nu(t) = {x e R3 / x+3y = 0}
4)encontrar el lugar geometrico de los puntos del plano que verifican que la suma de sus distancias a dos puntos fijos de coordenadas (-2,1) y (6,1) es constante e igual a 10
hola, podrias explicarme en el 4) de donde sale 20raiz(x-6)^3....
y despues en lo que esta mas abajo remarcado de donde sale esa exprecion que tampoco entiendo,
tambien si podrias explicarme el procedimiento en el 2, solo entiendo hasta que planteas la convinacion lineal con el t(-3,1,0)
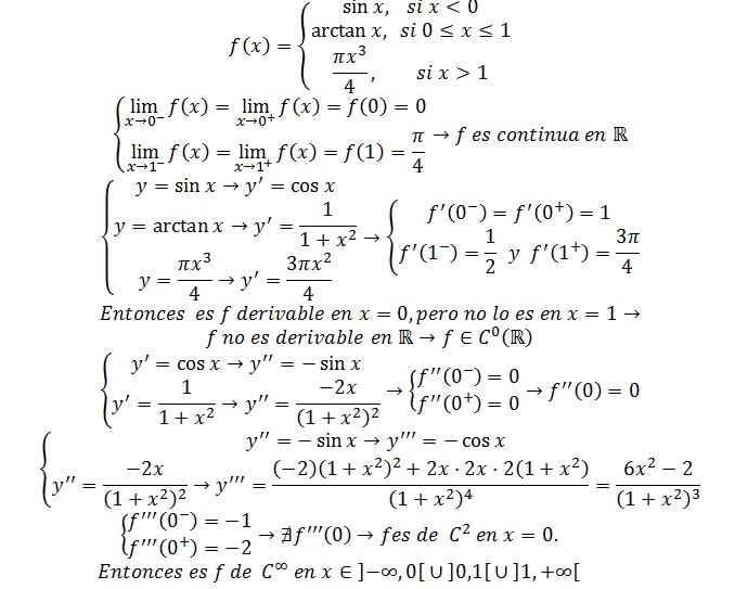
No estoy muy seguro de si hay vídeos respecto al tema de las clases de funciones (me refiero a ésta definición : http://puu.sh/pIuFU/d6efb91543.png ). Pero buscando no encontré nada.
La pregunta que tengo es respecto al ejercicio en la imagen adjunta, pude hacer perfectamente los apartados a y c, pero no acabo de entender la definición de clase de una función, y no se hacer los apartados b y d.
Alguna posible solución? O es un tema demasiado alejado de lo que se quiere dar aquí? Es de una asignatura de primero de carrera

Una funcioón de Clase C^1 es una función que es derivble en R
Una funcioón de Clase C^n es una función que es derivble n veces en R
Una funcioón de Clase C^n en un conjunto A, es una función que es derivble n veces en A
Por tanto para el b) tienes que hallar la derivada de f y ver si es continúa (si lo es la función por lo meos es de Clase C^1), luego haces la segunda derivada de f, y si no es continua quiere decir que la funcón no es de Clase C^2, por tanto es de Clase C^1
En el d), tienes que hallar el conjunto de puntos en que se cumple que la función la puedes derivar infintas veces
Bien gracias JBalvin ahora lo entendí mejor.
Doy por hecho de que si se pide la clase de f en R, si existe un solo punto donde f no sea derivable, la clase será C^0
Y viendo el apartado d) Supongo que la respuesta sería el intervalo (-∞ , 1] , ya que la función seno se puede derivar infinitas veces y la función arco tangente también (da un cociente que se expandirá indefinidamente) mientras que pi*x^3/4 solo se puede derivar aproximadamente 4 veces.
Gracias por todo, por cierto en una pregunta que te hice antes te volví a dejar otra cuestión, si es posible mírala)
Hola Unicoos!! Alguno podría ayudarme con este ejercicio? No sé cómo continuar... tengo que hallar la base y dimensión de S.. encontré el conjunto de generadores, pero a partir de ahí no sé que hay que hacer para hallar la base.
Se agradece la ayuda!!
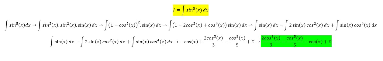
Necesito ayuda con esta integral: S sen^5(x) dx; hago todo el desarrollo usando identidades trigonométricas, pero me trabo para pensarla en términos de sustitución de sen o cos . Llegué hasta esta resolución:
S (sen^2(x)) (sen^2(x)) sen(x) dx
S ((1 - cos(2x))^2)/2 . sen(x) dx
Luego reemplazando con identidades --> S [(1/4 - (cos(2x))/2 + (1+cos(2.2x)/8).sen(x) dx
Y ya no puedo avanzar.... no sé cómo sustituir, si con sen o cos o 2x. Sé que es una duda re tonta pero no me doy cuenta qué me falta