Foro de preguntas y respuestas de Matemáticas

logo beUnicoos
Los foros de unicoos se han unificado en nuestra nueva plataforma beUnicoos. Para dejar nuevas preguntas deberás hacerlo allí, donde además podrás encontrar nuevas asignaturas y herramientas para ayudarte más con tus estudios.

  • icon

    Richard
    el 28/6/16

    Buenos días de nuevo, esta vez vengo con un problema de optimización que cayó en enero de este año en la asignatura de cálculo de primero de carrera de Ingeniería informatica, lo resolví para practicar para el examen de recuperación de Julio y quisiera saber si lo hice correctamente.

    Aquí lo que se pregunta (El primer ejercicio) : http://2.bp.blogspot.com/-5NNpm6LqgCA/VqHtNlboMeI/AAAAAAAARzU/7ghyet3ri0w/s1600/examen_calculoFIC_enero16.gif

    Y aquí los resultados que me dieron:

    replythumb_up0 voto/sflag
    icon

    Axel Morales Piñón.
    el 29/6/16

    Te ayudamos Richard ...

    thumb_up0 voto/sflag
    icon

    Richard
    el 29/6/16

    Ehm Peter creo que te has equivocado de pregunta, dije la primera no la cuarta.

    Aún así me vendrá bien esa respuesta para cuando empiece a mirar el tema de integrales.

    thumb_up0 voto/sflag
    icon

    mikel
    el 29/6/16

    Esta correcto
    Te lo envío de otra forma, cambiando la x por la y y viceversa.
    Saludos

    thumb_up0 voto/sflag
  • icon

    chado
    el 28/6/16

    Saludos Unicoos, tenia una duda algo general, estaba resolviendo uno modelos de parcial para ayudar a unos amigos, y queria saber si podia subirlos aca para poder verificar si estan bien resueltos ademas de estar claro

    replythumb_up0 voto/sflag
    icon

    Antonius Benedictus
    el 28/6/16

    Chado sube un par de ejercicios como mucho. Tenemos que ayudar a más gente.

    thumb_up3 voto/sflag
  • icon

    Cristhian
    el 28/6/16
    flag

    Me ayudan por favor con este problema de vectores? Hasta donde llegué a hacer, utilicé proyección de vectores, pero igual no llego a nada. Un saludo,
    Cristhian.

    replythumb_up0 voto/sflag
    icon

    chado
    el 28/6/16

    mmm ahora no me acuerdo bien como los calculos, solo formes las rectas que van a formar los lados del trilatero. luego con unos de los vertices y el valor medio de su lado opuesto formes otra recta que va a ser tu vector H

    thumb_up0 voto/sflag
    icon

    Antonius Benedictus
    el 28/6/16

    Te explicamos, Cristhian:

    thumb_up0 voto/sflag
    icon

    Cristhian
    el 28/6/16

    Muchas gracias Antonio, como siempre, eres un crack :) Un abrazo!

    thumb_up0 voto/sflag
  • icon

    The punk
    el 28/6/16
    flag

    Hola amigos necesito ayuda en este problema de funciones....no entiendo los apartados b y c

    replythumb_up0 voto/sflag
    icon

    Antonius Benedictus
    el 28/6/16

    Va, punk:

    thumb_up1 voto/sflag
  • icon

    Andrea
    el 28/6/16

    Hola, necesito ayuda en este problema de optimización en derivadas:
    Espero su ayuda. Muchas gracias de antemano.

    replythumb_up0 voto/sflag
    icon

    Francisco Gutiérrez Mora
    el 28/6/16

    Andrea:
    la primera derivada igualada a cero. Sustiyes los valores que la anulan en la segunda derivada. Cuando la segunda e menor que cero será un máximo y viceversa. Un Saludo

    thumb_up0 voto/sflag
    icon

    chado
    el 28/6/16

    mas o menos te contestaron la pregunta, solo que podes trabajar solo con la derivada primera, buscas un valor que anule esa ecuacion, y probar con un valor antes y despues de ese valor, si crece y despues del punto crece la funcion entonces vas a tener un maximo.

    thumb_up0 voto/sflag
    icon

    Andrea
    el 28/6/16

    Muchas gracias por sus recomendaciones. Lo intentare de esa forma. Gracias.

    thumb_up0 voto/sflag
  • icon

    Lucas
    el 28/6/16

    ¿ Te pueden expulsar por tener un número de flags ?
    Doy 5 estrellas al que me conteste bien :)

    replythumb_up1 voto/sflag
    icon

    Axel Morales Piñón.
    el 28/6/16

    No estoy seguro Lucas, pero ami parecer creo que no es posible...

    thumb_up2 voto/sflag
    icon

    Lucas
    el 28/6/16

    Muchas gracias Peter Paan, que nombre mas curioso jeje.
    Y una última pregunta, ¿ se pueden hacer exámenes ya o todavía no los han puesto ?

    thumb_up1 voto/sflag
    icon

    Axel Morales Piñón.
    el 28/6/16

    Sí lo sé jaja es gracioso mi nombre :b pregunté lo mismo hace poco y me dijo David que todavía no los ha colgado

    thumb_up1 voto/sflag
    icon

    David
    el 29/6/16

    Los exámenes están al caer. Antes de septiembre, sin duda..
    Podemos expulsaros si los flags son por uso indebido (comentarios irrespetuosos, reiteración masiva de preguntas, por poner indisciminadamente flags a otro...).

    thumb_up1 voto/sflag
    icon

    Lucas
    el 29/6/16

    Muchísimas gracias chicos :)

    thumb_up0 voto/sflag
  • icon

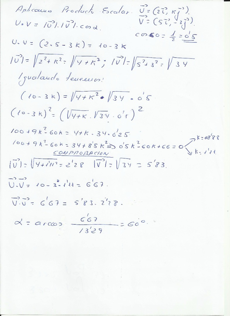
    Gianluca
    el 28/6/16

    me podeis ayudar con este ejercicio de vectores.
    u=2,k
    V=5,-3
    ambos tienen que formar un angulo de 60º

    replythumb_up0 voto/sflag
    icon

    César
    el 28/6/16

    Producto escalar, vectorial y mixto
    mirate los videos sobre producto escalar

    thumb_up2 voto/sflag
    icon

    Francisco Gutiérrez Mora
    el 28/6/16

    Te lo envío hecho. He comprobado una sola solución. Un Saludo.

    thumb_up1 voto/sflag
    icon

    Gianluca
    el 28/6/16

    muchas Gracias Cesar y Francisco

    thumb_up0 voto/sflag
  • icon

    Jordi Ramos
    el 28/6/16

    Hola amigos necesito su ayuda con esta propiedad....no me sale la demostración

    replythumb_up0 voto/sflag
    icon

    Antonius Benedictus
    el 28/6/16

    Va, Jordi:

    thumb_up0 voto/sflag
  • icon

    Mario
    el 28/6/16

    Hola Unicoos! Alguno podría ayudarme con este ejercicio? Me paso por aquí porque no consigo saber si el siguiente ejercicio es verdadero o falso, he intentado razonarlo con un contraejemplo pero no encuentro ningunas matrices que cumplan lo primero para llegar a una contradicción. ¿Cómo demostraría que es verdadero o falso? . Un saludo y gracias de antemano.

    replythumb_up0 voto/sflag
    icon

    Antonius Benedictus
    el 28/6/16

    Te encontramos el contraejemplo, Mario:

    thumb_up0 voto/sflag
  • icon

    Mónica
    el 28/6/16
    flagflag

    Hola Unicoos, soy Mónica.
    Veréis, mi hermana está en la facultad de Matemáticas y tiene dudas con respecto a la probabilidad.
    Me preguntaba, si no es molestia alguna, si podrías ayudarla a resolver algunos ejercicios para tener de referencia.
    Aquí os paso la foto con todos los ejercicios que necesita.
    Gracias de antemano.

    replythumb_up0 voto/sflag
    icon

    David
    el 30/6/16

    Me encantaría ayudarte, pero no respondo dudas universitarias que no tengan que ver específicamente con los videos que ya he grabado como excepcion. Lo siento de corazón… Espero lo entiendas

    thumb_up0 voto/sflag