Hola, tengo una duda sobre selectividad, no es matemática pero necesito saberlo por favor, una doble corrección o una reclamación, se pueden hacer vía on-line por internet ? En caso afirmativo donde ? Gracias
Ejercicio de funcion logaritmica:
Las estrellas se agrupan en categorias, de acuerdo a su brillo, llamadas magnitudes. A las estrellas más debiles (visibles al ojo humano) se les asigna magnitud 6 y a las más brillantes se les asigna la magnitud conforme a la formula:
m = 6 - 2.5 log (F)
donde F es el flujo luminoso de la estrella. Encuentre una formula para conocer el valor de F en terminos de m. Si la magnitud de la estrella Rigel es m=0.12 ¿Cual es el valor de F?
Yo hice la siguiente:
0.12 = 6 - 2.5*log(F)
0.12 - 6 = -2.5 *log(F)
-5.88=-2.5 * log(F)
-5.88/-2.5 = log(F)
2.352 = log(F)
entonces:
F = 10^2.352
F = 224.9
pero no estoy segura de lo que hice, ya que en la pregunta dice que formule una formula, entonces ahi no entiendo :z
Hola, tengo una pregunta rapida sobre matrices y determinantes. Si hago lo siguiente F1=F1+2F2 como afecta esa operación al determinante? Recuerdo que al permutar filas el signo del determinante cambiaba, pero en este caso?
Gracias!
Raíz cuadrada de x + 4 mas raíz cuadrada de x-1 igual a 5
¿cómo se haría?

√(x+4) + √(x-1) = 5
[√(x+4) + √(x-1)] *[√(x+4) - √(x-1)]/[√(x+4) - √(x-1)] = 5 . (Por la propiedad de la diferencia de cuadrados)
[ {√(x+4)}^2 - {√(x-1)}^2 ] /[√(x+4) - √(x-1)] =5
[ x+4 - (x-1) ] /[√(x+4) - √(x-1)] =5
[ x+4 - x+1) ] /[√(x+4) - √(x-1)] =5
5 /[√(x+4) - √(x-1)] =5
1/[√(x+4) - √(x-1)] =1
1=[√(x+4) - √(x-1)] Bueno aquí se ve un poco a ojo que x=5 es solución
Hola! Mis problemas son las mates ya que las odio muchisimo y no entiendo nada de nada!
Estoy en 3 de la eso y me han quedado Mate, fyq + mate de 2 eso y necesito recuperarlas como sea: Me podrias ayudar!?
Temario.
1. Los números enteros
2. Potencias y raíces cuadradas
3. Fracciones y números decimales
4. Expresiones algebraicas
5. Ecuaciones de primer y segundo grado
6. Sistemas de ecuaciones lineales
7. Magnitudes directa e inversamente proporcionales. Porcentajes
8. Funciones propiedades globales
9. Funciones lineales de proporcionalidad directa e inversa
10. Estadística continua y probabilidad

Hola Valle, pon cada apartado en YouTube y al lado de cada apartado pones "unicoos" por ejemplo: Los números enteros unicoos, y te miras los vídeos y haces ejercicios, si ves que unicoos no tiene ese apartado pues lo pones y te miras otros vídeos de otros profesores que explican en YouTube y te buscas ejercicios resueltos en google y practicas, y te aseguro el aprobado en septiembre, no te agobies, mucha suerte y empieza ya!!
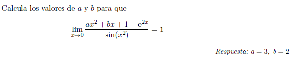
Buenos días.
Me gustaría saber si el proceso para resolver este problema sería similar al usado para resolver límites usando la definición.
Traté de resolverlo pero no estoy seguro de si el método de la definicion del limite sea el método necesario para solucionar este ejercicio, ya que no se pide en el enunciado que sea por definición del límite.
Probé haciendo L'Hopital y el límite da b-2 / 0 , dando infinito excepto en b=2, que es una de las soluciones que se dan junto con a=3 (aunque este dato no debiera usarse para resolver el ejercicio). Pero no estoy seguro de que se correlacionen.
JBalvin usando la definición del límite como en este video LIMITE aplicando la definición 01 al final llego a :
| ax^2 + bx + 1 - e^(2x) - sen(x^2) | < ε * sen (x^2)
|x| < δ
Y ahí me quedé , no sé como seguir desarrollando ese valor absoluto para calcular a y b
Hola! Necesito que me ayuden con esto, como hago para hallar un plano que contenga a L y corte a la recta M. Y dar el punto de interseccion del plano y M...
El enunciado dice: hallar un plano π que contenga a L y corte a la recta M. Dar el punto de interseccion entre el plano π y la recta M. Cuando analice las rectas me da que son alabeadas y nose como llegar a la conclusion de que son infinitos planos los que contienen a L y cortan a M

Por ese motivo, al cruzarse las rectas hay infinitos planos que contienen a una dee ellas y se interseca con la otra. Si te piden elegir uno de ellos, coge el perpendicular, esto es, el que tiene como vector normal el producto vectorial de los dos vectores directores de las rectas.
hola, necesito ayuda con este ejercicio de aplicación de ecuaciones diferenciales .. Quiero saber como obtener los valores de las constantes.

Primero resolvamos la ecuación diferencial, para ello integramos y queda:
y = (K/A)*ln(t - to) + C
que es la solución general de la ecuación diferencial.
Luego, observa bien cuáles son los datos que tienes en el enunciado:
y(9) = 0, ya que el barrendero comienza su trabajo a las 9 horas, y todavía no ha limpiado algún trecho del camino;
y(11) = 2, ya que a las 11 horas ya ha limpiado 2 kilómetros;
y(13) = 3, ya que a las 13 horas ya lleva limpiados 3 kilómetros en total.
Con esta información, puedes plantear tres ecuaciones a partir de la expresión de y:
(K/A)*ln(9 - to) + C = 0
(K/A)*ln(11 - to) + C = 2
(K/A)*ln(13 - to) + C = 3
Luego puedes despejar C de la primera ecuación y sustituir en las otras dos y queda el sistema:
(K/A)*ln(11 - to) - (K/A)*ln(9 - to) =2
(K/A)*ln(13 - to) - (K/A)*ln(9 - to) = 3
Luego puedes extraer factor común en los primeros miembros de ambas ecuaciones y quedan:
(K/A)*(ln(11 - to) - ln(9 - to)) =2
(K/A)*(ln(13 - to) - ln(9 - to)) = 3
Luego multiplicamos por A/K en los dos miembros de ambas ecuaciones y quedan:
ln(11 - to) - ln(9 - to) = 2*A/K
ln(13 - to) - ln(9 - to) = 3*A/K
Luego aplicamos propiedad de los logaritmos en los primeros miembros, y las ecuaciones quedan:
ln((11 - to)/(9 - to)) = 2*A/K
ln((13 - to)/(9 - to)) = 3*A/K
Luego, asumiendo que en la segunda ecuación los dos miembros son distintos de cero, dividimos miembro a miembro y queda la ecuación:
ln((11 - to)/(9 - to)) / ln((13 - to)/(9 - to)) = 2/3
Luego hacemos pasaje de divisores como factores y queda:
3*ln((11 - to)/(9 - to)) = 2*ln((13 - to)/(9 - to))
Luego, por propiedad de los logaritmos nos queda:
ln{((11 - to)/(9 - to))^3} = ln{((13 - to)/(9 - to))^2}
Luego por igualdad entre logaritmos naturales, igualamos sus argumentos (y en ellos distribuimos los exponentes) y queda:
(11 - to)^3 / (9 - to)^3 = (13 - to)^2 / (9 - to)^2
Luego, observa que podemos simplificar denominadores y queda:
(11 - to)^3 / (9 - to) = (13 - to)^2
Luego, pasamos divisor como factor y queda:
(11 - to)^3 = (9 - to)*(13 - to)^2
Luego desarrollamos el binomio al cubo del primer miembro, y el binomio al cuadrado del segundo miembro y queda:
1331 - 363*to + 33 * to^2 - to^3 = (9 - to)*(169 - 26*to + to^2)
Observa que en apariencia tenemos una ecuación cúbica, pero nos queda distribuir en el segundo miembro, y luego de reducir términos semejantes queda:
1331 - 363*to + 33 * to^2 - to^3 = 1521 - 403*to + 35*to^2 - to^3
Observa que podemos cancelar los términos cúbicos de ambos miembros, hacemos pasajes de términos, reducimos y queda:
-2*to^2 + 40*to - 190 = 0
Luego multiplicamos por -1/2 en todos los términos y queda:
to^2 - 20*to + 95 = 0
Observa que nos quedó una ecuación polinómica cuadrática, cuyas soluciones (que puedes calcular con la fórmula resolvente son):
to = 10 + V(5) = 12,236 (aproximadamente), que no tiene sentido para nuestro problema, ya que según el enunciado la tormenta de nieve comenzó antes de las 9 horas;
to = 10 - V(5) = 7,764 (aproximadamente), que si tiene sentido porque indica que el comienzo de la tormenta ocurrió antes de las 9 horas.
Por lo tanto, expresamos nuestra segunda solución en sistema sexagesimal:
to = 7,764 = 7 + 0,764, que se corresponde al horario: to = 7 horas + 0,764*60 minutos = 7horas + 45, 84 minutos.
Por último, observa que te preguntan solamente el horario en que comenzó la nevada, por lo tanto podemos omitir el cálculo de las demás constantes.
Espero haberte ayudado.

Echale un vistazo... Función signo
A partir de ahí, sobre todo con dudas universitarias, se trata de que DESPUES DE IR A CLASE (ver los vídeos relacionados con vuestras dudas) enviéis dudas concretas, muy concretas. Y que nos enviéis también todo aquello que hayais conseguido hacer por vosotros mismos. Paso a paso, esté bien o mal. No solo el enunciado. De esa manera podremos saber vuestro nivel, en que podemos ayudaros, cuales son vuestros fallos.... Y el trabajo duro será el vuestro. #nosvemosenclase Nos cuentas ¿ok?