GRACIAS A TODOS UNICOOS HE SALIDO LIMPIO ESTE CURSO, NO ME HA QUEDADO NINGUNA Y FISICA Y QUIMICA JUNTO CON MATES LAS MEJORES ASIGNATURAS CON MEJORES NOTAS GRACIIAAAAAAAAAS!!!!!
duda acerca de estadistica, aproximacion de una binomial a una normal
problema: el 15% de los habitantes de una determinada región son diabeticos. se toma una muestra de 600 de esos habitantes y se pide:
numero esperado de habitantes que no son diabeticos.
duda acerca de estadistica, concretamente el tema de distribuciones de probabilidades continuas, el enunciado es el siguiente:
Se sabe que la estancia de los enfermos de cierto hospital sigue una distribucion normal de media 8 y deviacion tipicade 3 dias. ¿cuantos dias estuvieron el 25 % de los pacientes que pasaron ingresados menos dias?

¿has visto estos vídeos?... Distribución normal
Te piden obtener "r" sabiendo que se cumple que P(x<=r) = 0,25.....
P(Z<=(r-µ)/σ)) = 0,25 y deberíamos consultar las tablas al reves, buscando el 0,25 en los resultados de la tabla de distribucion normal.. verás que empiezan por 0,5 y sería imposible..
Eso es así cuando r<µ... Y se puede hacer esto... P(Z<=(µ-r)/σ)) = 0,75.. Busca ahora el 0,75 en los resultados... El valor obtenido será (8-r)/3, de donde podrás obtener "r"...
Muchisimas gracias a los dos!!
Los videos sobre esta parte están geniales y gracias a ellos me he ido enterando de este tema.... asique muchas gracias ya que de no verlos no hubiese tenido ni idea sobre esto
mi problema era que no sabia resolver cuando me salia probabilidad menos de 0.5 que es hasta donde tenemos en las tablas,
Osea que el truco esta en que como no tenemos valores mas bajos en la tabla de 0,5 y en este caso tengo 0,25 hago su contrario que es el 0,75 y como hago esto,en la formula que tenia que ser P(Z<=(r-µ)/σ)) = 0,75 la cambiamos y la ponemos de esta forma P(Z<=(µ-r)/σ)) = 0,75, es decir, en vez de (r-µ) la ponemos en (µ-r) y despejamos r no?
Hola! Me encantaria que me ayudaran a resolver este problema, dice asi:
Desde la orilla de un rio, observamos la copa de un arbol situado en la otra orilla, bajo un angulo de 70*. Si nos alejamos 30m de la orilla, el angulo de observacion es de 30*. Calcula la altura del arbol y la anchura del rio.
Hola compañeros.
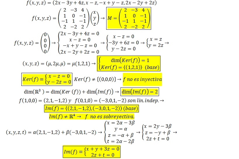
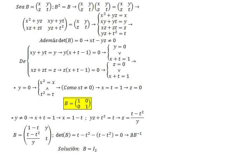
Me gustaría que me resolvierais la siguiente duda sobre matrices:
me dicen que calcule el determinante de una matriz cuadrada (B) 2x2 que tiene inversa y ademas sabemos que B^2=B.
Mi problema surge cuando no hay números con los que operar (el enunciado es así no hay mas) así que supongo que este ejercicio se hace con las propiedades de las matrices, me podéis que propiedad me he olvidado para hacer este ejercicio?
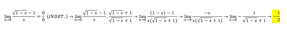
si una fracción es,por ejemplo 3+5(x-1) / 8(x-1) -9
el (x-1) no se podría quitar porque no está multiplicando a todo, no?
Amigo Don Antonio, buenos días:
Me ha despertado gran curiosidad una pregunta de lo más sencillo y es: ¿Cuánto es 6/2(1+2)?
Es increible las controversia que aparecen en Internet a ese respecto, incluso las calculadoras dan dos resultados 1 y 9
Como profesor de matemáticas que es me gustaría saber su sabia interpretación, pues en todo lo leído, que hay para todos gustos, parece que la balanza se inclina hacia la respuesta 9. Espero su sabia respuesta.

Sí, JBalvin, y es lógico. ¿Que pasaría si dentro del paréntesis estuviera: (x+2)? Habría que aplicar propiedad distributiva ¿no? Pues si aplicamos distributiva con los números daría otro resultado: 6/2+4=1
En fin he puesto la pregunta porque me ha llamado la atención de forma sustancial las controversias que se generan en Internet con el dichoso ejercicio. Incluso hay calculadoras que dan como resultado el 9 y otras dan el 1 (resultados que más aceptan) He subido al Facebook de Únicoos un artículo sobre el tema que me ha parecido curioso.
Por los comentarios parece ser que no todo el mundo está de acuerdo en algo que en principio parece tan sencillo. Muchas gracias y un saludo.
Hola estoy viendo derivadas y no se como derivar 5e (elevada a x)y e elvada (2x)