otra preguntita un polinomio de grado menor e igual a 3, que dimension tiene???
puede ser 4?

Si te refieres al conjunto A = {polinomios de grado menor o igual a tres}, puedes observar que puede considerarse como un espacio vectorial generado por los vectores:
1, x, x^2, x^3, que conforman una base con cuatro elementos, y como son linealmente independientes, tenemos que el cardinal de la base es 4, por loa que la dimensión del espacio vectorial es 4.
Espero haberte ayudado.
hola, estaba viendo unos videos de ld y li de aca. y no me queda claro lo de como saber si es LD o LI, con el rango de la matriz, luego de escalerizarla y con el calculo de determinante.
Alguien me aydua a como sacar si es Linealmente dependiente o independiente, por medio de i) rango ii) determinante. gracias.
asi mismo como determino si es generador...
Alguien me puede mirar este ejercicio a ver si lo tengo bien?
Tenia q hallar la ecuacion de la parabola con foco(1,1) y directriz en la recta y=2x
Gracias!

Observa primero:
En el primer paso, planteaste la distancia entre un punto P(x,y) perteneciente a la parábola, y el foco (puede ser cualquier punto de la parábola).
En el segundo paso, planeaste la distancia entre un punto P(x,y) perteneciente a a parábola, y la directrir (puede ser cualquier punto de la parábola).
En el tercer paso igualaste correctamente, de acuerdo con la definición de parábola.
Pero observa que la directriz no es paralela a los ejes coordenados, por lo que la ecuación cartesiana implícita debe tener un término rectangular que no has obtenido.
A partir de la anteúltima ecuación que escribiste, podemos elevar al cuadrado en ambos términos, simplificar raíz y potencia a la izquierda de la igualdad, y nos queda:
(1 - x)^2 + (1 - y)^2 = ((2x - y)^2)/5.
Luego desarrollamos binomios en todos los términos y nos queda:
1 - 2x + x^2 + 1 - 2y + y^2 = (4x^2 - 4xy + y^2)/5;
luego multiplicamos por 5 en ambos miembros de la ecuación, ordenamos y reducimos términos a la izquierda de la igualdad y nos queda:
5x^2 + 5y^2 - 10x - 10y + 10 = 4x^2 - 4xy + y^2;
por último, hacemos pasajes de términos y llegamos a la ecuación cartesiana implícita de la parábola:
x^2 + 4xy +4y^2 - 10x - 10y + 10 = 0.
Espero haberte ayudado.
estaba leyendo una cosa de algeebra y no entendi a que se refiere que sea una matriz sea diagonizable, tiene algun sinonimo a otra cosa. (america latina)
Hola me ayudan con un ejercicio de polinomio de taylor, no se si entendi la pregunta esto es lo que he hecho.
4. Halle el polinomio de Taylor de grado 3 de la función f(x) = tan(x) iniciando en x = 0
Calcule tan(1) en la calculadora y compare con el polinomio de Taylor evaluado en 1. (2 puntos c/u)
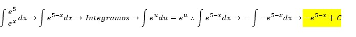
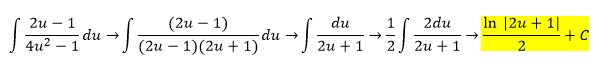
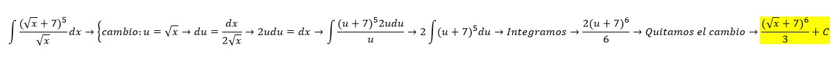
ayudemen con esta Integral aplicando sustituciòn
(2u-1)/(4u^2 - 1), mi duda esq no sè cual parte es la q sustituyo

Mira Ariel la estructura que puse era: Si tienes un cociente de Polinomios (du/dx)/u(x) en donde por debajo tengas una función y arriba por suerte su derivada el integrando es el Ln|u(x)|...
En este caso u(x)= 2x²-x+1 .... du/dx= 4x-1 .... se ajusta a esa estructura ¿verdad? Espero y me hayas entendido... cualquier duda me la haces saber... aquí estaré para aclararlas
necesito ayuda con un ejercicio de funciones de varias variables , el ejercicio es el siguiente muchas gracias a los que ayuden!! cualquier cosa sera bien recibida

Gracias por molestarte David, de todas maneras ya esta resuelto el ejercicio. Estaba cometiendo un fallo a la hora de simplificar, cosa que remarcas siempre en tus videos.... Muchas gracias por todo el contenido que subes a youtube en 1º de ingenieria de telecomunicaciones es tremendamente util!