
Para la próxima Angie intenta no enfrentarte a tus ejercicios el día antes. Además, se trata de que el trabajo duro sea el vuestro, no de que os hagamos los deberes...
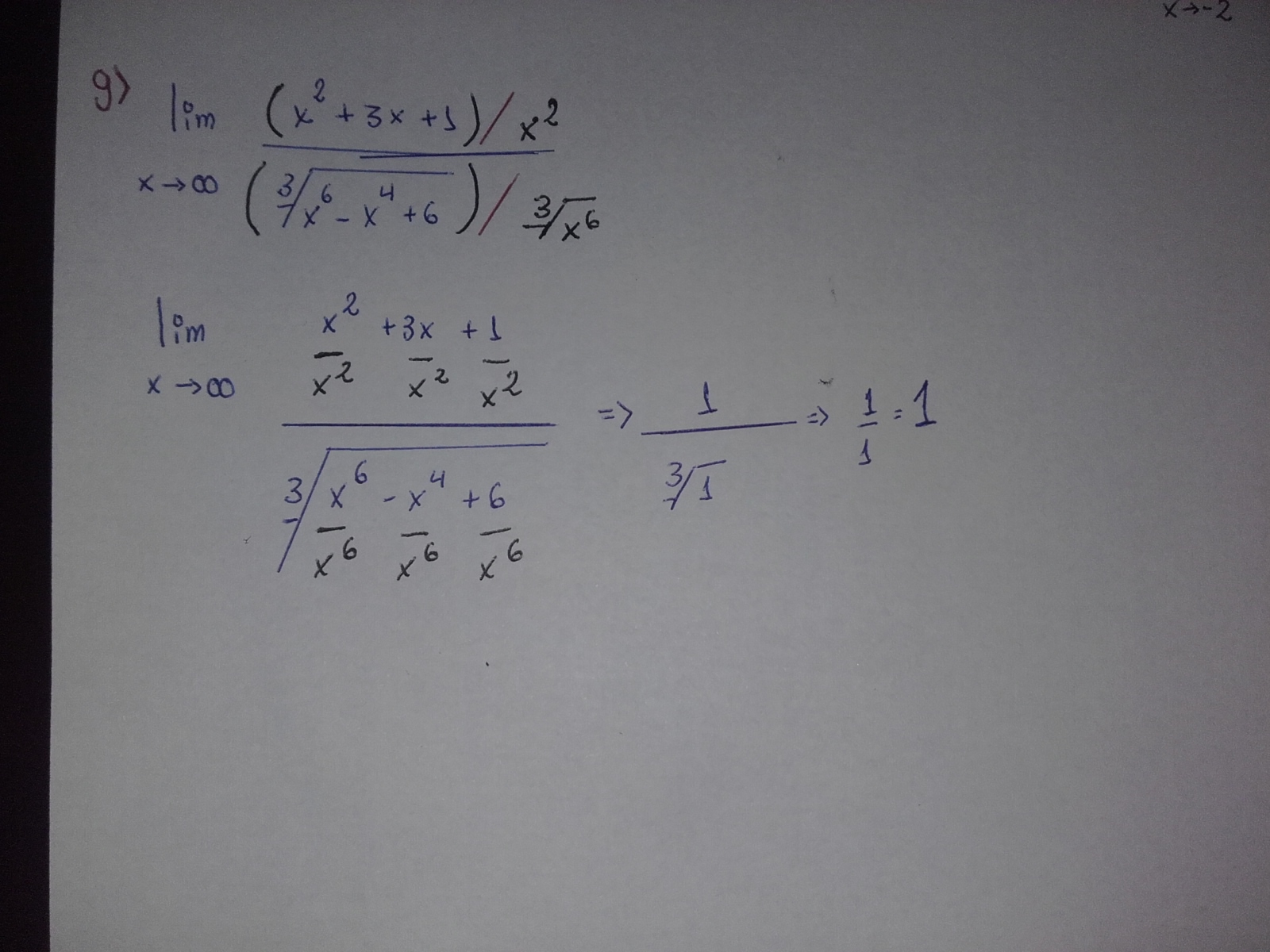
De hecho, estoy seguro de que no tendrías problemas en hacerlos si hubieses visto los vídeos de límites de tu curso.. Por ejemplo... Limites infinito - infinito
Hola unicoos necesito vuestra ayuda con una demostración.
Tengo que demostrar la siguiente propiedad usando inducción

Envío un esquema, y perdón por la poca prolijidad, pero puede serte útil.
En el paso de demostración, en la cuarta línea, agregamos sumando y restando términos opuestos, a fin de hacer evidente la aplicación de la hipótesis inductiva, y en el cierre, vemos que nos queda un factor que es suma y resta de términos que son todos enteros por propiedades del producto de enteros, y de la potenciación de enteros con exponente natural.
Espero haberte ayudado.
Hola unicoos por favor ayuda con esta ecuación diferencial con cambio de variable con condición dy/dx=1/y^2; y(1)=1 les agradezco mucho.

A partir de la ecuación que has escrito, tenemos (con pasajes de factores):
y^2 * dy = dx
ahora, integramos en ambos miembros y queda:
(1/3) * y^3 = x + C, que es la solución general de la ecuación diferencial, y donde C es un número real arbitrario,
ahora, a partir de la condición tenemos que para x = 1 corresponde y = 1, reemplazamos y queda:
1/3 = 1 + C, de donde despejamos con pasaje de término y llegamos a: -2/3 = C;
ahora volvemos reemplazamos en la solución general, y obtenemos la solución particular que pide el ejercicio:
(1/3) * y^3 = x - 2/3
ahora multiplicamos por 3 en todos los términos y queda:
y^3 = 3x - 2,
y queda que hagas el pasaje del exponente como índice de raíz para la llegar a la expresión explícita de la función y que tienes en la respuesta:
y = (3V)(3x - 2).
Espero haberte ayudado.
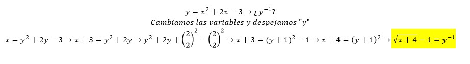
Como saldría este ejercicio de pasar a función inversa f(x) = x2 + 2x -3 (x2 es que está elevado al cuadrado)
¿Cómo se resolvería este ejercicio? ayuda no he podido resolverlo
Un contenedor de base rectangular, lados rectangulares y sin tapa ha de tener un volumen de 2 m2. La anchura de la base ha de ser 1m. El material cortado a la medida cuesta US $10 por metro cuadrado para la base, y US $5 por metro cuadrado para los lados. ¿Cuál es el costo del contenedor más barato?
La pregunta está mal planteada, un recipiente no puede tener un volumen de 2 m2.
Si te refieres a que el área debe ser de 2 m2 tampoco tiene mucho sentido, por lo que deduzco que te refieres a que debe tener un volumen de 2 m3. Para esto debes escribir una ecuación que te calcule el volumen en función de la altura y la longitud de la base; y otra que te calcule el costo usando las mismas variables. Las combinas para que la ecuación del coste solo depenga de una de las dos variables.
Luego derivas la ecuación y la igualas a 0 con lo que hallarás una medida. Sustituyendo encuentras la otra y estas dos seran las medidas del recipiente con estas características de menor coste (no olvides comprobar que se trata realmente de un mínimo y no de un máximo;)
Hey! Podrían ayudarme, lo necesito con rapidez: la formula de : cos (-x) = cos x, también se puede aplicar al seno, cuando se representa en la gráfica? o el coseno es el única razón trigonométrica representable en la gráfica?
Se necesita con urgencia, mañana es el examen final.
Hola chicos ,me ayudarian con el inciso B, el A lo resolví sin problemas pero en el b no supe bien que hacer, gracias.
Buenos dias, me podrían decir si esta bien lo que hice, me pide hallar K para que sea función probabilidad.

En la segunda integral tienes un fallo, ya que se te olvidó el 3, y bueno por lo que yo veo tienes que calcular la integral desde 0 hasta 3 de p(x) e igualarlo a 1 ya que esa es la condición para que p sea función de dendidad, entonces como p(x) = k*f(x), entonces la integral de p es k por la integral de f, es decir k*19/4 ( aunque como te dije antes está mal) y luego eso tiene que ser igual a 1, k*19/4=1, k=4/19 (aunque esta MAL)
Porque el recorrido de una sucesion numerica esta incluido en el conjunto de los numeros reales ??? gracias

Si ves la definición de sucesión numérica, ésta es una función con dominio en el conjunto de los Números Naturales, y sus valores son números reales.
Los números naturales indican el "número de órden" de cada uno de los números reales que componen la secuencia de la sucesión.
Espero haberte ayudado.