3·logx - log 30= log (x²/5)
log (x³) - log 30 = log (x²/5)
log (x³/30) = log (x²/5)
Ya podemos quitar los log: x³/30 = x²/5
5x³=30x²
5x³-30x²=0
5x² ·(x-6) = 0
Solución 1: 5x²= 0 →x=√(0/5) = 0
Solución 2: x-6= 0 → x=6
Tienes que comprobar las soluciones sustituyendo por x. (en este caso ambas son validas)
Hola, necesito ayuda con éste problema de selectividad, por más que lo hago no me da la solución correcta ya que me dan decimales (z = 8,...)
En una empresa trabajan empleados de las categorias A, B y C. El salario mensual de cada trabajador es de 1200, 1700 y 2200, segun pertenezca a A, B o C respectivamente. Todos los trabajadores destinan un 5% de su salario a un plan de pensiones, lo que asciende en un mes a un total de 4930 euros. El número de trabajadores de A es 150% los de la categarioa B. El numero de trabajadores de la categoria B mas el de la C supera en 3 al numero de trabajadores de la categoria A. Hallar el numero de trabajadores de cada categoría.
Las ecuaciones a las que llego son las siguientes:
12x +17y + 22z = 986
-x +y +z = -3
x = 1,5y
Como digo las soluciones me dan decimal por lo que no encaja con el problema...
Buenas, ¿me gustaría saber si hay algún vídeo en la web sobre como transformar potencias de base decimal, a otras bases y operaciones con dichas bases? Un saludo.
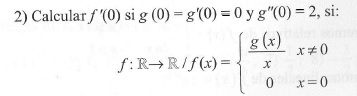
Hola tengo una duda en el primer Item en la pregunta "c" con respecto a probar si es un subespacio del espacio de las funciones, gracias por su ayuda y atención, saludos desde chile...buenas noches!
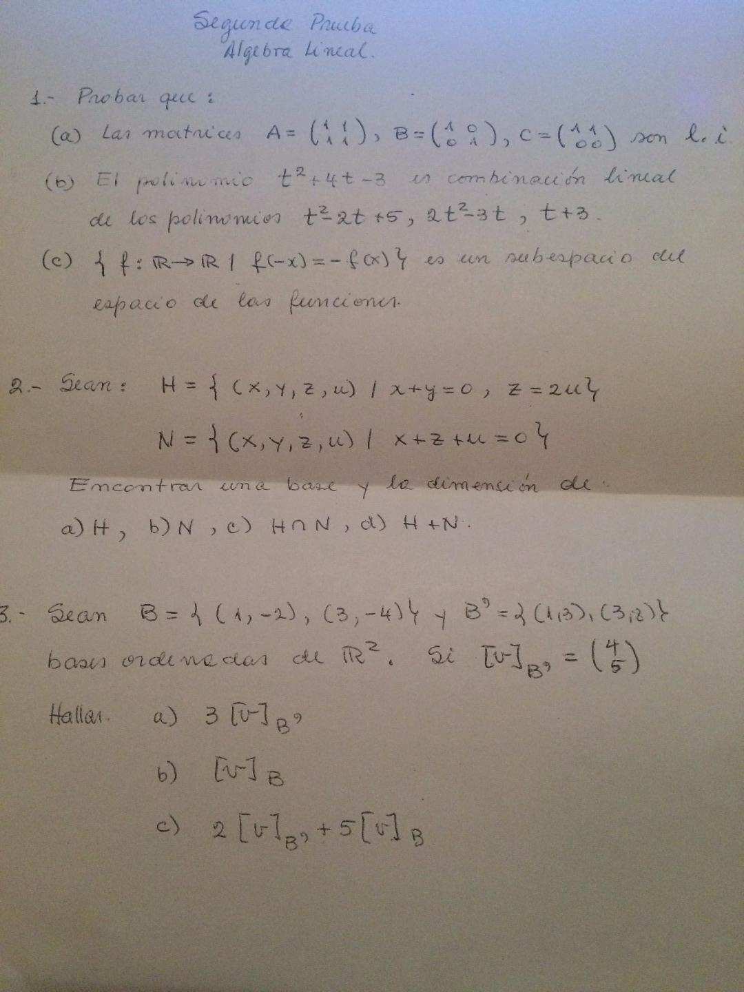
hola me podrian ayudar con el apartado 3? necesito que me ayuden a plantearlo porque tengo problemas con eso.. me piden que halle una base del subespacio s y la dimension.

Hola Peter paan, la duda en si es de bachiller, el primer año de las carreras de universidad en america equivalen a bachiller en españa, esta duda es de subespacios vectoriales, donde el cuerpo K son el conjunto de números complejos, en cuanto a tu pregunta.. estudio ingenieria!
Saludos!