Hola que hay de nuevo, quería saber como saco el diámetro máximo de un circulo inscrito en un cuadrado, la información que me dan es que hay un pozo de agua a una distancia de 30m al norte y 70m al este del centro del mismo que seria el del circulo , el cuadrado tiene 30m cada lado, ya hice todo pero nunca llego al resultado que es de 72.32 m cuadrado aproximadamente.
Hola compañeros podrian ayudarme un poco con estas aplicacion de derivadas ?
El costo total C , en pesos para fabricar n unidades de un cierto articulo esta dado por :
C(n)= n^2 -20n+160
Determinar el nivel de produccion, para que el costo de produccion sea minimo
y graficar de forma aproximada
Viendo que la función de costo total es Cuadrática ,el costo mínimo será aquél en donde la derivada sea cero (La función debería tener un mínimo).
Así que lo que tendrías que hacer es : Derivar esa función y luego igualarla a cero para sacar el valor de "n" en donde el costo es mínimo.
Una vez hecho esto , haces la gráfica teniendo en cuenta el valor de "n " y la imagen que tendrá , en otras palabras la gráfica te debería quedar en forma de U .
buenas noches unicoos desde chile!!! en primer lugar quería darle las gracias a David por toda su ayuda en cada uno de sus videos!
Unicoos tengo un problema en como sacar el promedio o media . y además en si el n de la media es igual a N que es el tamaño de la muestra? porfavor ayuda con este ejercicio de segundo medio !

Sí, tienes razón.. El n de la media es igual a N que es el tamaño de la muestra...
En cuanto a sacar la media, no sé a cual de los ejercicios te refieres... pero...
¿has visto este vídeo?... Estadistica 01
¿y este otro?... Estadistica 02 Nos cuentas despues ¿ok?
Abrazos hasta Chile! :)
podrian hacer un videos de fracciones parciales? ya que solo tienen de integrales :D gracias de antemano

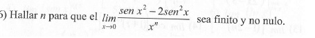
Por LHOPITAL? solo se aplica LHOPITAL para indetemrinaciones dle tipo 0/0 o ∞/∞... Algunos sí podrás hacerlos por ese método...
Deriva a numerador y denominador por separado y nos cuentas ¿ok?. El trabajo duro tiene que ser el tuyo...
Pero otros no... ¿seguro que te obligan o tienes que hacerlos por LHOPITAL?. ¿no será aplicando infinitesimos equivalentes?... Infinitésimos equivalentes
O por limites trigonometricos? Limite trigonometrico 01 (infinitesimo)
si una persona pregunta, y yo le respondo, como puedo valorar la pregunta, o el a mi la respuesta

La matriz es una forma de colocar la función si es lineal (se puede colocar como una matriz por el vector a transformar), esta matriz tiene en sus columnas las transformaciones de todos los elementos de la base canónica {(1,0,0);(0,1,0);(0,0,1)}. si es lineal se cumple que f(x1 + x2)=f(x1)+f(x2), y que f(c*x)=c*f(x) (siendo c una constante, c ∈ R).