examen de recperación mañana, urgentee
hola, tengo problemas con el limite con indeterminación uno elvado a infinito,
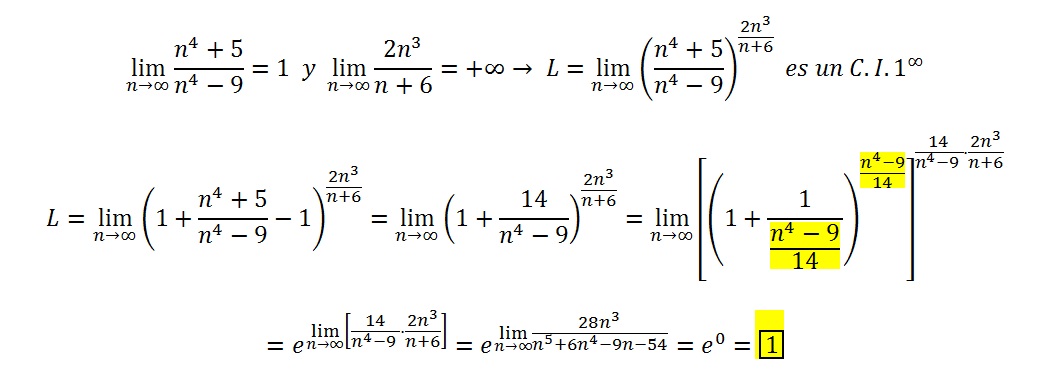
lim (((n^4+5) / (n^4-9)) elevado a (2n^3)/(n+6)
Usando la formula... realemente me queda un 0/0 IND?
Need help con el -1 de la formula me atasco en este limite agggg
muchiiiiiiiiiiiiiiiiisimas gracias por todo y enhorabuena por el trabajo

TROZO A TROZO.... El trabajo duro debe ser el tuyo, pero...
El primer trozo... x²-2x=0... x(x-2)=0----x=0 y x=2.. El dominio sería |R-{0,2}, pero como ese trozo solo está definido para x<1, solo tendrás problemas en x=0...
El segundo trozo, Dominio=|R.. el denominador nunca se anula...
Para el tercer trozo, 9-x²=0... (3-x)(3+x)=0..... x=-3 y x=3.. El dominio sería |R-{-3,3}, pero como ese trozo solo está definido para x>3, no tendrás problemas en ningun caso para este trozo.
El otro problema lo tienes en x=1, pues el primer trozo es para x<1 y el segundo para x>1. por tanto, x=1 no está definida para esta función...
Finalmente el dominio |R-{0, 1} .. Te sugiero este video. como ves se trata simplemente de hacer lo de siempre .. Dominio de una funcion
alquien me puede echar una mano con este ejercicio, tengo el examen de selectividad manana y no quiero ir con dudas
gracias
Hola, tengo una duda en cuanto al cálculo de la razón de semejanza.
Sé que r=p/p'=a/a'=b/b'...
Lo que no logro entender es el número que tengo que poner en el numerador o el denominador. Por ejemplo: si la razón de semejanza de dos triángulos semejantes es de 5/2 y el perímetro del menor es de 13 cm, ¿cuál es el perímetro del mayor?
5/2=p/13. Por tanto, p= 32,5
Pero, ¿cómo sé que el 13 va en el denominador y no en el numerador?
Muchas gracias!!
Mucho mejor, muchas gracias! Pero en el siguiente ejemplo no sé si se cumple exactamente:
El perímetro de un triángulo es 15cm y los lados de un triángulo semejante 4'5; 6'4 y 7'1. ¿Cuál es su razón de semejanza?
r= p/p'
r= 15/(4'5+6'4+7'1)= 15/18 = 5/6
¿Ahora por qué no se pone el 18 en el numerador si es el mayor?
Muchas gracias!