hola chicos alguien me puede explicar por q mi físico realizo esta parte asi del ejercicio.... ... hace valer que la integral de sen2x es igual a integral de 2senx. cosx solo quiero q me expliquen esa parte gracias
por favor únicos me puedes ayudar con la siguiente parabola
y=(x+4)2
elevado al cuadrado

Buenos días Irene, que te pide el ejercicio?
Echale un ojo a estos videos, Representacion funcion cuadratica
Hola una ayuda pls es algo bien sencillo pero no recuerdo como hacerlo
-Mediante traslación de ejes, reducir las ecuaciones siguientes a su forma más
simple y establecer la naturaleza de la figura que representan.
a. y² - 6y-4x + 5 = 0
necesito saber como hacerlo aca la sol : y² =4x
Hola, una pregunta como se resolvería el siguiente limite?: lim ((e^x)-(e^-x))/((e^x)+(e^-x)) cuando x tiende a infinito
Hola me podrian ayudar con estos 2 ejercicios y explicame como lo hicieron 6) Las coordenadas de los vértices de una elipse son V1 (- 2, 8) y V2 (- 2, - 2) y las coordenadas de sus focos son f1 (- 2, 7) y f2 (- 2, - 1). Hallar su ecuación.
7) Las coordenadas de los vértices de una elipse son V1 (13, 0) y V2 (- 17, 0) y la longitud de su lado recto es 288/15 . Hallar su ecuación.
El centro estará en el punto medio que une los focos f1 (- 2, 7) y f2 (- 2, - 1)→ (-2-2)/2,(7-1)/2=(-2,3)
El parámetro c es la distancia del foco al centro d=(- 2, 7)-(-2,3)=c=4
El parametro a es la distancia del vertice al centro V1 (- 2, 8) al C(-2,3) →a=5, ademas se cumple que a²=b²+c²
b²=25-16=9
luego la elipse es (x+2)²/9+(y-3)²/25=1
el otro de manera similar
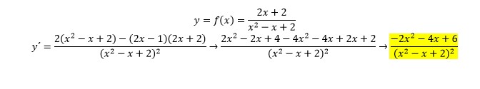
Hola, en el examen de selectividad de 2015 sale que la derivada de esta función 2X+2/x^2-x+2 es -2X^2-4X+6/(x^2-x+2)^2 y no me sale el nominador. A mi me sale -2x^2 + 4x +2 y aplico la formula de derivación en división.