hola, estoy en 4 de eso y estoy dando estadistica, tengo mañana un examen y no se como calcular la mediana en la tabla de frecuencias con intervalos. si alguien puede ayudarme.. gracias!
Alguien me puede explicar este ejercicio. Gracias (Selectivo Julio 2013 Comunidad Valenciana)
Problema 3. Una empresa de telefonía móvil ofrece 3 tipos diferentes de tarifas, A, B y C, cifrándose en un 45%, 30% y 25% el porcentaje de clientes abonados a cada una de ellas, respectivamente. Se ha detectado que el 3%, 5% y 1% de los abonados a la tarifa A, B y C, respectivamente, cancelan su contrato una vez transcurrido el periodo de permanencia. Se pide:
a) Si un cliente elegido al azar cancela su contrato una vez transcurrido el periodo de permanencia, ¿cuál es la probabilidad de que estuviera abonado a la tarifa C?
b) ¿Cuál es la probabilidad de que un cliente elegido al azar no cancele su contrato una vez transcurrido el periodo de permanencia?
c) Si se selecciona un cliente al azar, ¿cuál es la probabilidad de que esté abonado a la tarifa A y decida cancelar su contrato una vez transcurrido el periodo de permanencia?
d) Si se selecciona un cliente al azar, ¿cuál es la probabilidad de que no esté abonado a la tarifa B y decida cancelar su contrato una vez transcurrido el periodo de permanencia?

Probabilidad
Se trata de que DESPUES DE IR A CLASE (ver los vídeos relacionados con vuestras dudas) enviéis dudas concretas, muy concretas. Y que nos enviéis también todo aquello que hayais conseguido hacer por vosotros mismos. Paso a paso, esté bien o mal. No solo el enunciado. De esa manera podremos saber vuestro nivel, en que podemos ayudaros, cuales son vuestros fallos.... Y el trabajo duro será el vuestro. #nosvemosenclase Nos cuentas ¿ok?
De cara a la selectividad, me he encontrado con una duda: ¿es posible resolver un sistema de ecuaciones compatibles indeterminado por el método de Cramer, siempre y cuando utilizando algún parámetro? ¡Muchas gracias!
Un fabricante de ruedas desea conocer la probabilidad de que una rueda elegida al azar tenga algún defecto. De 1000 ruedas tomadas al azar 3 de ellos tenían defectos.
a) Hallar el intervalo de confianza al 95% para la probabilidad pedida
b) ¿Cuántas piezas sería necesario tomar para que con una probabilidad del 95% el error máximo al estimar la proporción de piezas defectuosas fuera del 0,05?
En principio he pensado en aproximar la binomial B(0,003;1000) mediante una normal aplicando el Teorema de Moivre. Sin embargo, aunque "n" es mucho mayor que 30, np
Hola! En la solución de este ejercicio, el número 6: http://www.vitutor.com/analitica/recta/problemas_recta.html: en el segundo plano que contiene a A y a la recta s, ¿no debería de haber cogido el punto A en vez del C? Muchas gracias! :)
Hola! Cual es el dominio de esta función? 1/(x ³+2x²_6x_6) Intento hallar los valores que hacen 0 el denominador pero no encuentro ninguno..significa eso que el dominio es todo R??
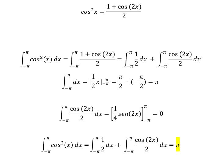
Hola, buen día maestros de unicos, les pido ayuda con el ejercicios 50. Ayudenme con esa integral de favor. Gracias. Att: El Toby.