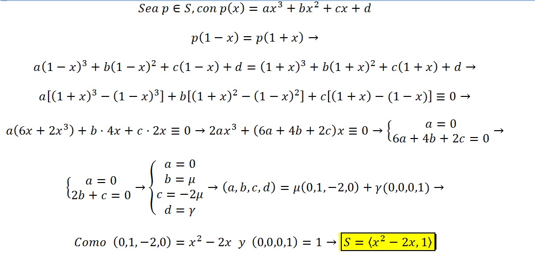
hola, necesito una mano con el ejercicio 3 realmente no se como abordarlo.. me pide que halle un generador del subconjunto
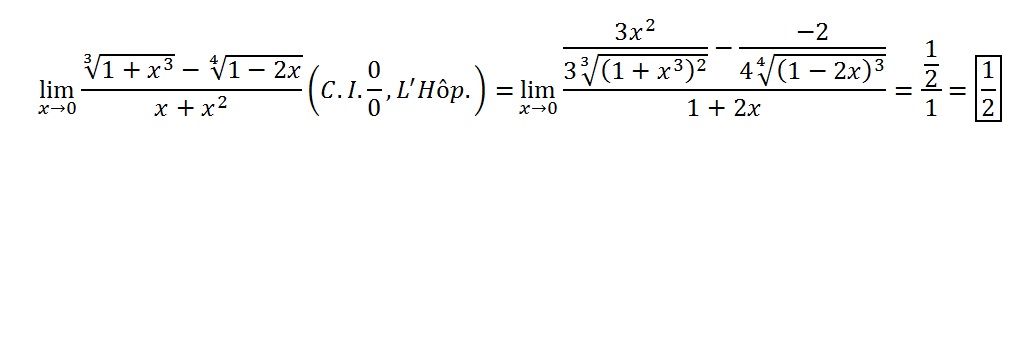
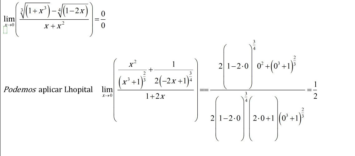
HOLA BUENA GENTE DE UNICOOS NECESITO AYUDA PARA DETERMINAR ESTOS 2 LIMITES
NO SE QUE HACER!!!
AYUDA PORVAFOR!!
GRACIAS DE ANTEMANO!!
Saludos , no entiendo la función a trozos.
Ejemplo:
Dada la función a trozos:
representa la función F(x)
Indica el dominio de la función F(x) , intervalos de crecimientos y decrecimiento , máximos y mínimos.
Gracias de antemano.
Estas ante una funcion a trozos, el dominio es todos los reales dado que son polinomios, pero hay un punto critico, el 0, por lo tanto hay que saber que pasa ahi, por otra parte para pintarla, solo debes dar valores a la x y calcular los de la y, para intervalos de crecimiento y decrecimiento debes usar la primera derivada y para máximos y mínimos la segunda, espero que te sirva un saludo

No podemos haceros lo deberes de 10 en 10, lo siento...
Te sugiero que veas todos los víeos de ecuaciones que te incomoden (exponenciales, logaritmicas, irracionales)...
Se trata de que DESPUES DE IR A CLASE (ver los vídeos relacionados con vuestras dudas) enviéis dudas concretas, muy concretas. Y que nos enviéis también todo aquello que hayais conseguido hacer por vosotros mismos. Paso a paso, esté bien o mal. No solo el enunciado. De esa manera podremos saber vuestro nivel, en que podemos ayudaros, cuales son vuestros fallos.... Y el trabajo duro será el vuestro. #nosvemosenclase Nos cuentas ¿ok?
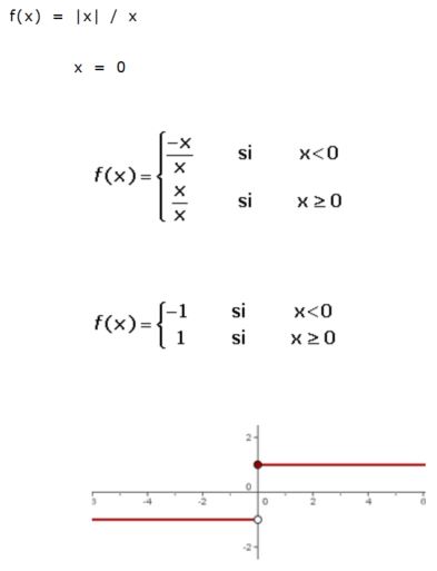
Buenas tardes,
No comprendo esta función, Cuando x=0, ¿y=1? No entiendo por qué, 0/n es 0 y n/0 es ∞ por lo que 0/0 sería ind. no?
Gracias!