Hoola! Intenté hacer este ejercicio de derivabilidad, me preocupa la parte final, no sé si tengo que concluir haciendo alguna comprobación, :
Determinar los valores de a y de b para que la función:
f (x) { e^ax x ≤ 0
2a + bsen x 0 < x Gracias!
Hola, necesito resolver lo siguiente: (infinito=00)
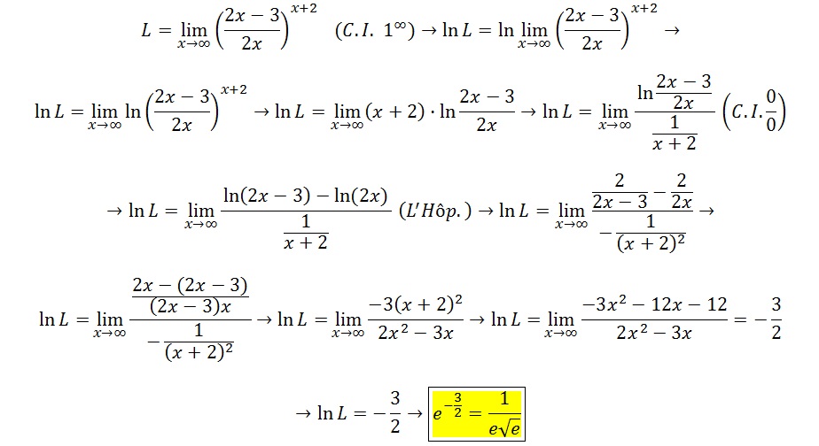
Lim ((2x-3)/(2x))^(x+2)
x->00
Esto me da una indeterminación 1^00 . Para resolverlo aplique ln en ambos miembros quedando algo como esto:
ln L = lim (x+2) ln ((2x-3)/(2x)
x->00
ln L = lim ln (2x^2 + x - 6)/2x Por lo tanto obtengo una indeterminación 00/00. Entonces aqui debo aplicar L'Hopital. Pero al hacer la derivada, me queda algo como esto, y no se como continuarlo
x->00
ln L= lim 1/ ((2x^2+x-6)/(x^2))
x->00
Cuando reemplazo la x, me da por resultado 1/ (00/00), y no se como seguir el ejercicio.

En el limite lim (x+2) ln((2x-3)/(2x)) no puedes aplicar LHOPITAL porque es del tipo ∞.0
Debes hacer esto... Limite UNO ELEVADO A INFINITO sin fórmula
Muchas gracias a ambos por la pronta respuesta. En primer lugar quería consultar por la resolución que me ha enviado Antonio. No logro entender como se llego a la expresion
lim ln ((2x-3)-ln (2x)) / (1/(x+2))
x-> 00
No entiendo como se llega al ln 2x restanto al ln 2x-3.
Por otra parte, gracias por el video, Si bien estuve viendo todos los videos de indeterminaciones, a este lo he pasado de largo. Como siempre la explicacion es excelente.
Muchas gracias a ambos.
Hola Unicoos, lo que quiero probar es que el límite (x,y) a (a,a) f (x,y) sea derivada de fi (x)..... al final puedo tomar un y = x y decir que son iguales ? O tengo que Demostrar por definición en "términos de delta y epsilon".... Gracias Unicoos.
Hola,
Cómo se resolvería esta ecuación trigonométrica:
sen ( x + π/3 )= 1/2 .... en [0;2π]
Es la única que no consigo resolver, no sé por dónde empezar
Gracias!

Vale, pero como piden en el intervalo [0;2π], a la primera solución habría que sumarle π quedando 5π/6 (-π/6 + 6π/6= 5π/6) y así sucesivamente hasta llegar a 2π ¿no? e igual con la segunda ¿no?
Por lo tanto habría más soluciones:
Para -π/6:....x= 5π/6.... x= 11π/6
Para π/2:.... x=3π/2.
Gracias David