Foro de preguntas y respuestas de Matemáticas

logo beUnicoos
Los foros de unicoos se han unificado en nuestra nueva plataforma beUnicoos. Para dejar nuevas preguntas deberás hacerlo allí, donde además podrás encontrar nuevas asignaturas y herramientas para ayudarte más con tus estudios.

  • icon

    erick
    el 29/5/16

    HOLAAA,me podrian porfabor ayudar con esta integrallll ..graciasss

    replythumb_up0 voto/sflag
    icon

    Antonius Benedictus
    el 29/5/16

    Ayuda: t=cos (3x)→dt=(-3)sin(3x)·dx
    sin^2(x)=(1-cos^2(x))=1-t^2....
    Inténtalo y nos cuentas.

    thumb_up0 voto/sflag
    icon

    erick
    el 29/5/16

    magister Antonio Benito Garcia ,,segui su ayuda pero me quede en este paso de ahi nose como poder avanzar???????

    thumb_up0 voto/sflag
  • icon

    Romina
    el 29/5/16

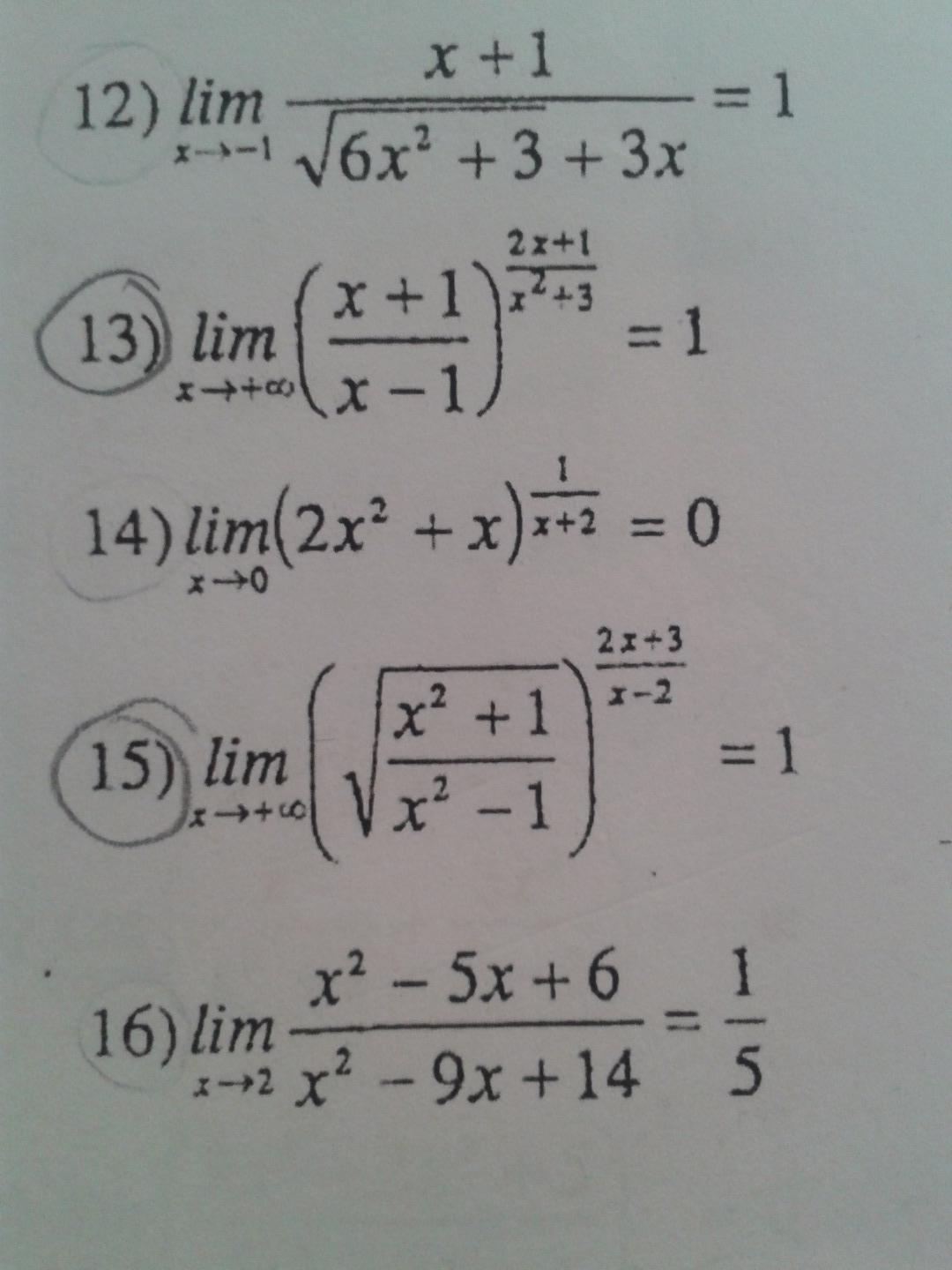
    Hola! me podéis ayudar con el ejercicio 13 y 15 ??
    Gracias.

    replythumb_up0 voto/sflag
    icon

    Javier
    el 29/5/16

    Hola Romina, te ayudo con el 15 que lo he visto de primeras.
    Un límite de f(x) elevado a g(x) es igual al límite de f(x) elevado al límite de g(x). Teniendo esto en cuenta, si te fijas, ves que el límite de f(x) (la raíz cuadrada) te queda infinito partido infinito. Esto es,
    se puede hacer por orden de infinitud. Como son del mismo grado ambos miembros de la fracción, se dividen los números que multiplican a las "x". En este caso 1/1=1.
    Por su parte g(x) te queda lo mismo y al ser del mismo grado haces igual, divide los números que multiplican las "x" 2/1=2.
    En conclusión, te queda 1^2=1.

    thumb_up0 voto/sflag
    icon

    Antonius Benedictus
    el 29/5/16

    Te mandamos el 15, Romina. Intenta tú el 13 y nos lo cuentas.,

    thumb_up0 voto/sflag
    icon

    Javier
    el 29/5/16

    La número 13 inténtalo tú, como dice Antonio.
    Te envío una imagen resumen de la teoría que te he explicado. Un saludo.
    PD: Antonio, mira que complicas las cosas...

    thumb_up0 voto/sflag
    icon

    Antonius Benedictus
    el 29/5/16

    Querido Javier: Si cuentas todas las letras de tu texto y luego cuentas todos los símbolos de mi desarrollo, creo que tú lo complicaste más.... Jejeje...

    thumb_up0 voto/sflag
    icon

    Javier
    el 29/5/16

    Cierto, pero no tenía otra forma de explicarlo jajaj. Intenté arreglarlo con la imagen, espero que le sirva. Un saludo, Antonio

    thumb_up0 voto/sflag
    icon

    Romina
    el 29/5/16

    Gracias!!
    He intentado la 13, lo hice por la regla de los grados...

    thumb_up1 voto/sflag
    icon

    Javier
    el 29/5/16

    Lo veo perfecto, Romina.

    thumb_up1 voto/sflag
  • icon

    cristina
    el 29/5/16

    Hola, ¿me podríais ayudar con éste ejercicio de la recta tangente?

    Consideramos la función f(x)=((x^3)/3)-(x^2)-3x+C, donde C es una constante. Determina el valor de la constante C si sabemos que la recta y=-4x-3 es la ecuación de la recta tangente a f(x) en x=1.

    Gracias de antemano.

    replythumb_up0 voto/sflag
    icon

    Antonius Benedictus
    el 29/5/16

    Repasa las operaciones, Cristina, que hoy estoy ligeramente bradisíquico:

    thumb_up1 voto/sflag
    icon

    cristina
    el 29/5/16

    la operación final para averiguar C me da (-10/3) pero el procedimiento me ayudó mucho, gracias!

    thumb_up0 voto/sflag
  • icon

    María José
    el 29/5/16

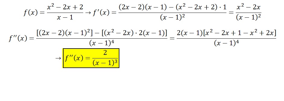
    me podéis ayudar con la segunda derivada de y=(x^2-2x+2)/(x-1)
    Graciaas .

    replythumb_up0 voto/sflag
    icon

    Mario
    el 29/5/16

    Creo que da esto:

    (x-2)x / (x-1)^2

    thumb_up0 voto/sflag
    icon

    Antonius Benedictus
    el 29/5/16

    Te ayudamos, María José:

    thumb_up1 voto/sflag
  • icon

    Sara Fuentes Gonzalez
    el 29/5/16

    Buenas! Tengo una duda urgente, en el cálculo de dos áreas de integrales, en el cálculo de la funcion diferencia como se cual de las dos funciones es la que se resta?

    replythumb_up0 voto/sflag
  • icon

    María José
    el 29/5/16

    Me podéis ayudar por favor , mañana tengo examen , y hay un ejercicio que no me da el resultado , se trata de hallar a y b para que sea continua y derivable .
    ax^2+bx-1 si x es menor e igual que 1
    2bx -2 si x es mayor que 1
    Gracias .

    replythumb_up0 voto/sflag
    icon

    Lorenzo Donadio
    el 29/5/16

    ahi esta

    thumb_up0 voto/sflag
  • icon

    Nerea
    el 29/5/16

    alguien me puede decir si he derivado bien o sino en que me he equivocado??

    replythumb_up0 voto/sflag
    icon

    Lorenzo Donadio
    el 29/5/16

    te falta multiplicar por la derivada interna, acuerdate de la regla de la cadena. (f(g(x))'=f'(g(x))g'(x)

    thumb_up1 voto/sflag
  • icon

    Kauzar
    el 29/5/16

    Alguien me puede explicar este ejercicio? No entiendo como se llega a la conclusión de que ambas rectas son perpendiculares. Gracias.

    replythumb_up0 voto/sflag
    icon

    Lorenzo Donadio
    el 29/5/16

    ahi va

    thumb_up0 voto/sflag
  • icon

    vanny
    el 29/5/16

    ayuda con las 6 porfa

    replythumb_up0 voto/sflag
    icon

    Lorenzo Donadio
    el 29/5/16

    ahi va, espero te sirva

    thumb_up0 voto/sflag
  • icon

    Alejandro Pozo
    el 29/5/16

    Hola buenas, en el apartado b no se como sacar el punto de la recta r, tengo que parametrizar? esque me sale una cosa bastante rara

    replythumb_up0 voto/sflag
    icon

    Antonius Benedictus
    el 29/5/16

    Te va el primero, Alejandro.

    thumb_up1 voto/sflag
    icon

    Antonius Benedictus
    el 29/5/16

    Y el segundo:

    thumb_up1 voto/sflag