Hola me podrian explicar porque en la parte de permutacion con repeticion se cogerian de 27 elementos , no serian de 28 elementos dado que hay 24 tizas y 4 aulas.¿me explican por favor?
Hola unicoos, tengo una duda respecto al calculo, en sí dudas que prefiero que me las aclare el maestro que siempre me ha apoyado aquí, desde ya le agradezco por vuestra ayuda, su experiencia me abre luz de conocimiento.
Ehh ¿Qué el cálculo?
¿Qué significa calculo diferencial, calculo integral y calculo infinitesimal?¿Alguna diferencia entre ellos?
Gracias de antemano...
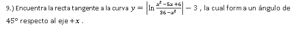
Hi amigos unicoos, ayudenme tengo la lección del parcial acumulado varios temas, no se como resolver uno con valor absoluto y logaritmo. El cual esta así....
Encuentre la ecuación general de la recta tangente, que tenga un ángulo de inclinación de 45° en la curva.
y=| ln ((x²-5x+6)/(36-x²)) |-3
Ayudenme solo con el asunto de la primera derivada. De ahí creo poder hallar el punto de tangencia y la recta.
Gracias de antemano.
Buenos días, Don Antonio:
Contestando el ejercicio que plantea más abajo el amigo Juan Pablo, me he encontrado que al sustituir en la segunda derivada me da resultado cero. La pregunta es: ¿Tengo que verificar el mínimo que busco por tanteo en las ecuaciones bases de ambos lados? Le agradecería mucho su respuesta. Le dejo el procedimiento que he seguido a ver qué me dice. Sin más aprovecho la ocasión para saludarle muy afectuosamente. Un Saludo y buenos días.

Hola, Francisco. Has optimizado la raíz cuadrada de la suma de los cuadrados de las medidas de los cables, no la suma de las medidas.
En cualquier caso, si se desea el extremo absoluto de una función y la derivada segunda resulta peliaguda, si se puede, se aplica el T. de Weierstrass: toda función continua en un intervalo cerrado alcanza al menos una vez sus extremos absolutos. en la práctica, basta con evaluar la función en los extremos del intervalo y en los puntos críticos de éste, a saber, los puuntos angulosos (donde f no es derivable) y los puntos singulares (donde la derivada vale 0). El valor (o valores) más alto corresponde al máximo, y el más bajo, al mínimo.
Un aludo afectuoso.