Unicoos, podrían decirme si está bien resuelto este ejercicio? me da tres puntos y me pide hallar el área del triángulo... qué tengo qué tener en cuenta para poder responder la pregunta que está al final del enunciado? Gracias.
Hola, tengo la siguiente duda, me piden analizar la existencia de f'(0) en la función f(x) = (1-cosx)/|x| ; x ≠ 0 ; 0 ; x=0

Lo primero será descomponerlo en una funcion a trozos... como en este video.. Funcion a trozos - Valor absoluto
En tu caso...
f(x)=(1-cos)/(-x) si x<0
f(x)=0 si x=0...
f(x)=(1-cos)/x si x>0
A partir de ahí, como en este otro.. Derivabilidad de un función a trozos
Hola que tal , tengo una duda en este ejercicio ; Hallar la funcion lineo cuyo grafico pasa por los puntos A=(-4 , -2) y B=(2, 4). Determinar KeR para que el punto C=(-K, 3) pertenezca al gráfico de F(x)
- La funcion lineal ya la obtuve y la pude sacar , no se como hallar el punto C para que pertenezca a la funcion F
Para que C=(-K,3) pertenezca a la función, debes saber que en un punto siempre el primer número pertenece al eje de la x y el segundo al de la y: C(x,y); así que -K es la x y 3 es la y . De este modo, en la función lineal sustituyes la y por el 3 de manera que la solución que sea igual a x es igual a -K en este caso. Espero haberte ayudado
hola, en este ejercicio me pide calcular el area limitada por las curvas, llego hasta donde se ve la foto pero no se como seguir, alguien me podria dar una mano?
Hola Unicoos! porfis necesito que me ayuden con esta tarea o me voy a volver loca, resulta que pienso asi
si me piden solución unica significa que cada variable debe tomar un solo valor si o no?
y si me piden infinidad de soluciones entonces conservo todas mis variables (ninguna queda en función de otra) y además pueden tomar infinidad de valores, ¿debo restringir la solución trivial o no?
si me piden infinitas soluciones entonces tendré variables en función de otra
ayudenme pleasee!

Solucion unica (SCD)
Infinitas soluciones (SCI)
Sin solucion (SI)
Echales un vistazo.. Teorema de Rouche
Muy buenas unicoos!! Aquí yo de nuevo luego de tanto tiempo.
Tengo este ejercicio sobre series de potencias
Ya hice el apartado a) (de paso comparto como lo hice), como una vez me pidieron. Usé el criterio de D'Alembert (o del cociente).
Pero no se me ocurre como hacer el b). Si hay alguien que podría ayudarme lo agradecería muchísimo!!
Saludos desde Argentina!!
No soy capaz de encontrar el error en este ejercicio de selectividad. Esta extraido de 2015 examen de reserva 1 opcion A. El apartado b me sale correcto, simplemente aplico la formula del punto medio.
(Resolucion de Emestrada. http://emestrada.net/files/MII/EJ/MII%20T3%202015.pdf)

Muchas gracias, pero lo encontramos, un amigo que no respondia al rato por fin me dio con la solucion. Mi error no fue numerico como asumi, sino de procedimiento. Calcule el plano al que pertenecia la recta y el punto, y no el plano pedido perpendicular a la recta y que pasaba por el punto. Tomare nota y la proxima vez mandare la pregunta a boligrafo. Muchisimas gracias igualmente
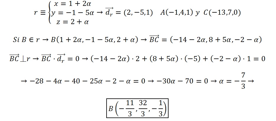
Hola Unicoos!! podrían darme una mano con el punto B de este ejercicio? tengo que hallar B perteneciente a r para que el segmento BC sea perperdicular a la recta r....Lo desarrollé de esta forma , pero no estoy segura de que esté bien, gracias!
¿Me ayudarían con este problema Unicoos?
Calcula la fuerza que hay que ejercer sobre el extremo de una palanca de 3 m, si el punto de apoyo se encuentra a 20 cm de punto de resistencia, y quiero ejercer una fuerza sobre ese extremo para levantar una piedra de 300 kg.