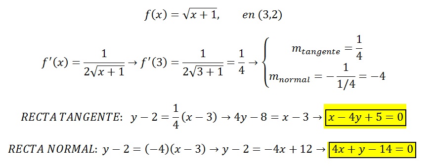
Hola Buenos días. Me podrán decir por favor si empece a hacer bien el ejercicio b. Lo que hice fue escribir a la función como (x+1)^1/2 y empeze a calcalar el limite de delta x cuando tiende a infinio f(2+delta x)-f(2)/delta x ahi no se que hacer
Y me podran guiar con el ejercicio a?
Hola unicoos ! Les quería pedir ayuda... Me piden dos ejemplos como los del enunciado.
Se me ocurre que usar funciones cuyos limites de la definición de diferenciabilidad no sean 0 y que el limite de derivada direccional exista. Pero no se me ocurre ninguna función, ayuda por favor !
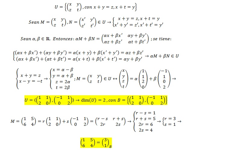
Hola necesito ayuda con el ejercicio que adjunto en la foto.
En él se piden 3 cosas, de las cuales, creo que he podido realizar la primera.
Concretamente mi duda es con respecto al segundo enunciado (Determine una base de U), normalmente sólo tengo que probar que un grupo de elementos dados constituyen una base de un espacio vectorial también dado, pero en este caso, no me dan elementos, así que no estoy seguro de si tengo que proponer un elemento cualquiera o si existe alguna forma de encontrarlo. No encuentro forma de empezar, por lo que me vendría de mucha ayuda una sugerencia o alguien que me pueda pasar un ejercicio similar.
Gracias
Nota:
No encuentro manera de adjuntar la foto de modo que quede en buen tamaño, ya que inicialmente eran 2 fotos. De modo que si no se aprecia bien puedo subirlas a Dropbox y pasar el link
Hola, quisiera saber si me podrían ayudar con el tema inecuaciones cuadráticas, la verdad no lo entiendo.
por favor.
Inecuaciones
puedes revisar los vídeos y revisar si es lo que necesitas o bien puedes poner un ejercicio en concreto y se te puede ayudar
Buenas noches, Unicoos. Mando ya mi última pregunta :).
En este ejercicio de estudiar la continuidad y derivabilidad me ha surgido una duda: sé que la derivabilidad se debe hacer en los puntos de cambio de la función, pero, ¿ha de hacerse también en cualquier otro punto de discontinuidad que encontremos? Si fuera así, la derivada por la izquierda y por la derecha sería siempre la misma, haciendo coincidir valores y haciéndola siempre derivable, creo yo. No obstante, me gustaría que me resolvierais esa pequeña duda.
Mando el ejercicio hecho.
Mil gracias :).
Hola, no tengo ni idea en hacer sistemas de ecuaciones cuando en una de las ecuaciones algún número está elevado a 2.
Por ejemplo:
X^2+3y=18
¿Podeis ayudarme? Graaacias.

De todos modos mírate estos vídeos para aprender a resolverlos Sistema de ecuaciones no lineal Sistema de ecuaciones no lineal