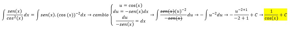
Hola unicoos, disculpen podria algun experto ayudarme con dosnintegrales. ∫ (Sen x / Cos² x) dx y ∫ (Cos x/ Sen² x) dx
Me fustro ya que integrales no se me da muy bien como en las derivadas, pero espero mejorar en integrales siendo hábil cada vez.
Gracias de antemano.
En ambas integrales tenés que usar sustitución .
Recordá que d/dx (cos(x)) = -sin(x) y d/dx(sin(x))=cos(x)
En la primera: u=cos(x) => du=-sin(dx) . Por lo tanto para que al reemplazar se trate de la misma función el integrando debe quedar: -du/(u^2) = (-1)*u^(-2) du, => la integral por regla de Barrow : 1/u + c. Volvés a reemplazar las u y te queda: 1/cos(x) + C. Espero que entiendas,no me sé explicar muy bien.
El ejercicio es Lim x-> infinito (3x-28)´5 + (2x-21) / 25x´5 - 3x² +1
Lo resolvi dividiendolo entre la x con mayor potencia es decir x´5, sin embargo tengo una duda con este ejercicio si yo tengo el producto notable entre x´5 estamos hablando de cociente entre infinito o infinito sobre infinito.
(3x-28)´5 7 x´5 = 0 o (3x -28)´5 / x´5 = ∞ / ∞

(3x-28)^5 no es un producto notable... Debes desarrollarlo... Lo ideal sería hacerlo aplicando el binomio de Newton... Binomio de Newton
A partir de ahí, te quedaría un limite del tipo ∞ / ∞ y el resultado rápido sería dividir el coeficiente de x^5 del numerador que has obtenido entre el coeficiente de grado 5 del denominador (que es 25)
Te sugiero estos vídeos.. Limite infinito entre infinito 01
Nos cuentas ¿ok?
Hola a todos, me podrian dar una mano sobre como continuar el ejercicio? Les dejo lo que hice, espero que este bien. Muchas gracias
Una Cuidad B se encuentra a 30km de A en dirección Este, mientras que C se encuentra a 50 km en direccion N30°O. La linea recta entre B y C representa una carretera entre las dos cuidades, mientras que la linea intermitente entre A y esta carretera representa un camino que desea construirse.
Determine la longitud de la Carretera entre B y C
Determine cual va a ser la longitud del camino entre A y la carretera que une a B y C
(Debería tener dibujo pero, en mi guía no está)
Gracias :)
Cordial saludo:
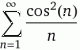
Resulta que me he enredado con la serie que aparece en la imagen. Me indicarían el método que debo seguir para concluir si la serie (IMAGEN ANEXA) es convergente o divergente, ya que he aplicado los distintos criterios (comparación, raíz, de la integral, de la razón), pero ninguno me hes útil.
Gracias.