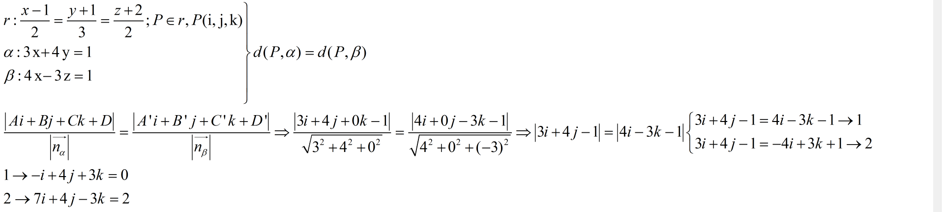
Muy buenos días a todos. No se como terminar un ejercicio de geometría métrica en R3. Me piden que calcule el punto que pertenezca a la recta "r" que sea equidistante a los dos planos α i β que me dan. Les mando una foto hasta donde he llegado, a partir de ahí ya no se como continuar. Mil gracias!
https://www.youtube.com/watch?v=EpiXKxekdrw ¿Por qué en el primer ejercicio hace una inecuación, pero en el segundo lo iguala a 0? Tiene algo que ver el grado de la ecuación?

Paa dudas concretas sobre algun paso especifico que hago en un video, lo ideal es que dejéis la duda en ese propio vídeo...
Lo igualo a 0 primero porque es lo que se hace siempre para resolver inecuaciones de segundo grado..
No obstante, en el primero tambien lo hago (pero de cabeza por ser inmediato) .... x-2=0 para x=2.. Y por eso "parece" que no lo hago...

Te sugiero estos vídeos... Factorización de polinomios con raíces complejas
Si una raiz es 1+2i, tendrá otra (su conjugada) que es 1-2i. La factorizacion con ambas sería (x-1-2i)(x-1+2i) =x²-x+2xi-x+1-2i-2xi+2i-4i²=x²-2x+1-4i²=x²-2x+1+4=x²-2x+5
Por ser raiz doble sería (x²-2x+5)²..
Por otro lado, el polinomio x³+27 tienes tres raices... x³+27=0... x³=-27... x=-3... Aplicando Ruffini, la factorizacion de x³+27 sería... (x+3)(x²-3x+9)...
Factorizacion de polinomios 03
.........1... 0.... 0... 27
...-3.......-3.....9...-27
.........1...-3....9....0
La unica posibilidad de que tu polinomio tenga dos raices comunes con x³+27 es que tenga las mismas raices que x²-3x+9...
Por tanto tu polinomio será P(x)=k(x²-3x+9)(x²-2x+5)²... Como P(1)=56.... k.7.4²=56... k=56/112=(1/2)....
Finalmente P(x)=(1/2).(x²-3x+9)(x²-2x+5)²
Hola Unicoos me podrían ayudar con esta pregunta.... No sería una familia de elipse de la forma (x^2)/b + (y^2)/a = c /(ab)... Gracias
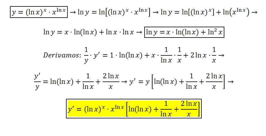
Hola, necesito ayuda con estos 3 ejercicios. El 959 y el 965 me piden hallar la derivada. El 3 me pide calcular ese limite... El 959 y el 965 los hice pero no se si estén bien y el limite no se como resolverlo, la indeterminación me dio "no existe acotado por cero" y no se si eso sea realmente una indeterminacion.

Primero obtienes su punto de inflexion... Crecimiento y curvatura de una función polinomica
Y luego la recta tangente en ese punto... Recta tangente y normal