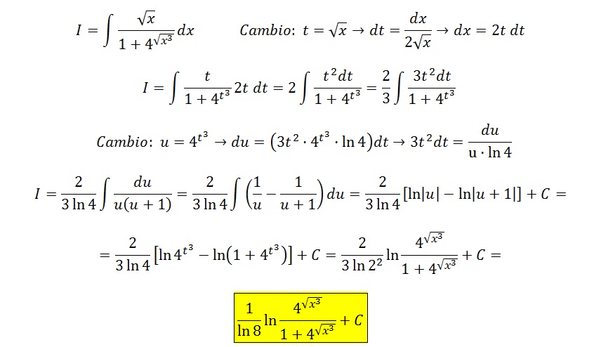
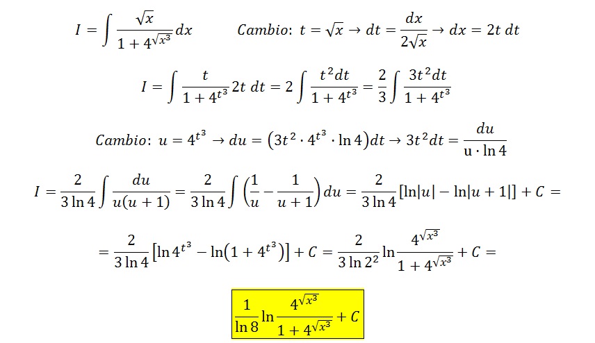
Buenos días unicoos, me podrían ayudar con esta integral irracional: ∫(√x)/(1+4^√x³).
Muchas gracias
Buen día único, saludos cordiales, tengo una duda respecto a “volumen de un sólido en revolución” y es que si me piden el volumen de un sólido simétrico con respecto al eje de giro, debo realizarlo con sus dos partes simétricas o simplemente hago girar solo una y al hacerlo me dará el volumen (imagen adjunta). Gracias por su tiempo
Hola buenas, quisiera preguntar una dudilla que tengo, por ejemplo en una representación de funciones, en la que no me salen puntos problemáticos de la función (DOM= IR) , para hacer las asíndotas verticales, ¿que número pongo para hacer el límite de la función?
Hola amigos, os pongo un enigma que he visto y no tengo ni idea de resolver :S
Un día, Natalia e Irene, deciden comerse una buena paella, para la que Natalia aporta 200 gramos de arroz e Irene 300 gr
Cuando están terminando de cocinar aparece Araceli por sorpresa y, viendo que había arroz más que suficiente para las tres, propone pagar su parte proporcional y unirse a la fiesta.
Araceli pone 5 euros y Natalia, rápidamente, coge 2 euros
- Espabila, niña - le dice Araceli a Irene - que parece mentira que des clase de Matemáticas y te dejes engañar tan tontamente
Gracias amigos ! :)
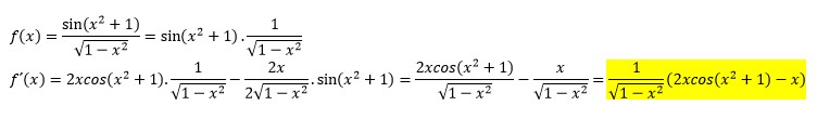
¿Cómo puedo hacer esta derivada sin morir en el intento? Por mucho que lo intento, no consigo que mi resultado se acerque siquiera al original, si alguien pudiera explicármelo paso a paso le estaría muy agradecido.
Se trata del ejercicio 20.
P.D. "sin" es seno en euskera.
Muchas gracias

El astrónomo y matemático hindú Aria Bhatta (476–550 d. C.) estudió el concepto de «seno» con el nombre de ardhá-jya,4 siendo ardhá: ‘mitad, medio’, y jya: ‘cuerda’). Cuando los escritores árabes tradujeron estas obras científicas al árabe, se referían a este término sánscrito como jiba . Sin embargo, en el árabe escrito se omiten las vocales, por lo que el término quedó abreviado jb. Escritores posteriores que no sabían el origen extranjero de la palabra creyeron que jb era la abreviatura de jiab (que quiere decir ‘bahía’).
A finales del siglo XII, el traductor italiano Gherardo de Cremona (1114-1187) tradujo estos escritos del árabe al latín reemplazó el insensato jiab por su contraparte latina sinus (‘hueco, cavidad, bahía’). Luego, ese sinus se convirtió en el español «seno».
Según otra explicación, la cuerda de un círculo, se denomina en latín inscripta corda o simplemente inscripta. La mitad de dicha cuerda se llama semis inscríptae. Su abreviatura era s. ins., que terminó simplificada como sins. Para asemejarla a una palabra conocida del latín se la denominó sinus.
No hay nada eusquérico, como ves, Jon.