Foro de preguntas y respuestas de Matemáticas

logo beUnicoos
Los foros de unicoos se han unificado en nuestra nueva plataforma beUnicoos. Para dejar nuevas preguntas deberás hacerlo allí, donde además podrás encontrar nuevas asignaturas y herramientas para ayudarte más con tus estudios.

  • icon

    penelope
    el 4/5/16
    flagflag

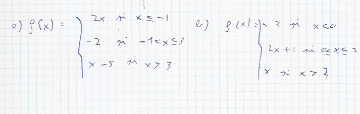
    alguien me puede ayudar con este ejercicio por favor :(
    tengo que hacer varios ejercicios similares y no se como comenzar

    calcular el volumen limitado por el cilindro (x^2)+(y^2)=4, el plano z=0 y por z=(-y^2)-(x^2)+9
    soluciones:
    1) 87.9746
    2) 87.9846
    3) 87.9646
    4) 87.9246
    5) 87.9346
    6) 87.9546

    replythumb_up0 voto/sflag
    icon

    David
    el 5/5/16

    Me encantaría ayudarte, pero no respondo dudas universitarias que no tengan que ver específicamente con los videos que ya he grabado como excepcion. Lo siento de corazón… Espero lo entiendas

    thumb_up0 voto/sflag
  • icon

    Alba
    el 4/5/16

    holaa, me podríais ayudar con este ejercicio?? Muchísimas gracias

    replythumb_up0 voto/sflag
    icon

    Antonius Benedictus
    el 4/5/16

    Te ayudamos, Alba:

    thumb_up1 voto/sflag
  • icon

    The punk
    el 4/5/16
    flag

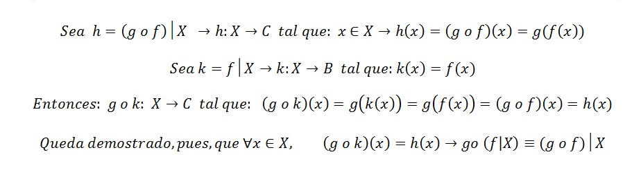
    Hola necesito nuevamente vuestra ayuda, estoy tratando de probar lo siguiente
    (g o f)|x = g o (f|x), lo he intentado por igualdad de funciones pero no me sale

    replythumb_up0 voto/sflag
    icon

    Antonius Benedictus
    el 4/5/16

    Sube la foto del enunciado original, Punk. No entiendo la notación que pones.

    thumb_up0 voto/sflag
    icon

    The punk
    el 4/5/16

    Este es el enunciado, muchas gracias por tu ayuda, siempre me ayudas

    thumb_up0 voto/sflag
    icon

    Antonius Benedictus
    el 4/5/16

    Pues ahora también:

    thumb_up0 voto/sflag
    icon

    The punk
    el 4/5/16

    Muchas muchas gracias Antonio :) eres un genio

    thumb_up0 voto/sflag
  • icon

    KIMEUNWOOK
    el 4/5/16
    flagflagflag

    demuestre que la proyeccion de u un vector de r^n sobre el vector canonico e el vector uiei, donde u es la enesima componente del vector u

    verifique on un par de ejemplos.

    por favor ayudanme no entiendo bien esto

    replythumb_up0 voto/sflag
    icon

    Antonius Benedictus
    el 4/5/16

    Te lo demostramos, Angélica:

    thumb_up0 voto/sflag
  • icon

    mauricio
    el 4/5/16

    Hola tengo una duda y me gustaría que me dieras una solución.... en el ultimo calculo me da un sistema de 2 ecuaciones don 1 incógnitas ??

    replythumb_up0 voto/sflag
    icon

    César
    el 4/5/16

    Por Gauss-Jordan

    thumb_up0 voto/sflag
  • icon

    Agustin
    el 4/5/16

    Muy buenas Unicoos! necesito ayuda con este par de ejercicios, porque si bien vi algunos ejemplos pero estos no se me ocurre como hacerlo.

    Se trata de identificar curvas dadas por las siguiente parametrizaciones:

    replythumb_up0 voto/sflag
    icon

    Antonius Benedictus
    el 4/5/16

    Vamos, Agustín:

    thumb_up1 voto/sflag
    icon

    Agustin
    el 4/5/16

    Que genio! jaja, muchisimas gracias Antonio!

    thumb_up0 voto/sflag
  • icon

    Vanessa
    el 4/5/16

    Hola Unicoos!
    Alguien que me ayude con estos ejercicios por favor.
    Adjunto foto.

    replythumb_up0 voto/sflag
    icon

    manu
    el 4/5/16

    que hay que hacer?

    thumb_up0 voto/sflag
    icon

    Vanessa
    el 4/5/16

    Gaficarlo, pero en distinta gráfica. La profesora nos dijo que había que hacer tres tablas pero no entiendo

    thumb_up0 voto/sflag
    icon

    Vanessa
    el 4/5/16

    Graficarlo, pero en distinta gráfica. La profesora nos dijo que había que hacer tres tablas pero no entiendo

    thumb_up0 voto/sflag
    icon

    Vanessa
    el 4/5/16

    Graficarlo, pero en distinta gráfica. La profesora nos dijo que había que hacer tres tablas pero no entiendo

    thumb_up0 voto/sflag
    icon

    manu
    el 7/5/16

    entonces tienes que ir dando valores a x que pertenezcan al intervalo

    thumb_up0 voto/sflag
  • icon

    Lily
    el 4/5/16

    Hola, necesito ayuda con el planteamiento del siguiente ejercicio:



    Esta función representa la curva de luz de una supernova.

    Realiza un estudio sobre los puntos extremos que presenta. ¿Para que número de días, a partir del momento en que empiezan a realizarse las observaciones, la supernova alcanza el máximo brillo?

    ¿Que tendría que hacer? ¿ Hay algún vídeo al respecto?

    replythumb_up0 voto/sflag
    icon

    Antonius Benedictus
    el 4/5/16

    Te ayudamos, Lily:

    thumb_up1 voto/sflag
  • icon

    Silvia
    el 4/5/16

    POr favor, si alguien puede decirme cómo resolver en este caso un ejercicio por Gauss Jordan, Muchas Gracias

    replythumb_up0 voto/sflag
    icon

    manu
    el 4/5/16

    Es que aun no has terminado gauss jordan te queda hacer mas ceros

    thumb_up1 voto/sflag
  • icon

    Kt
    el 4/5/16

    Hay un ejercicio que dice, Dados los vectores u(3, -5) i v(-2,1) calcula: a) -2u+ 1/2v
    En teoria un vector no es un segmento formado por dos puntos? Porque me dice que u i v son vectores? No son solo puntos?
    Se resolvería así?

    a) -2(3, -5) + 1/2(-2, 1)
    (-6, 10) + (-1, 0'5)
    (-7, 10'5)

    replythumb_up0 voto/sflag
    icon

    Nico
    el 4/5/16

    hola Caterina, cuando se refieren al vector de esa forma te están dando las coordenadas del punto ''hasta el cual va'', tomando el (0,0) como origen del vector, se entiende??

    thumb_up1 voto/sflag