Foro de preguntas y respuestas de Matemáticas

logo beUnicoos
Los foros de unicoos se han unificado en nuestra nueva plataforma beUnicoos. Para dejar nuevas preguntas deberás hacerlo allí, donde además podrás encontrar nuevas asignaturas y herramientas para ayudarte más con tus estudios.

  • icon

    Esleyder
    el 3/5/16

    Hola, me podrian ayudar con el apartado b) de este ejercicio? No lo entiendo para nada: Una empresa de material eléctrico fabrica bombillos que tienen una duración distribuida de forma aproximadamente normal, con una desviacion estándar de 40 horas. Si una muestra de 30 bombillos tiene una duración promedio de 780 horas, a) calcule un intervalo de confianza del 96% para la media de la población de todas las bombillas producidas por la empresa. b) ¿Que tan grande debe ser la muestra si deseamos tener un 96% de confianza en que nuestra media muestran estará dentro de 10 horas a partir de la media verdadera?

    replythumb_up0 voto/sflag
    icon

    Antonius Benedictus
    el 3/5/16

    Te explicamos, Esleyder:

    thumb_up1 voto/sflag
  • icon

    Gabriel Andrés Dehner
    el 3/5/16

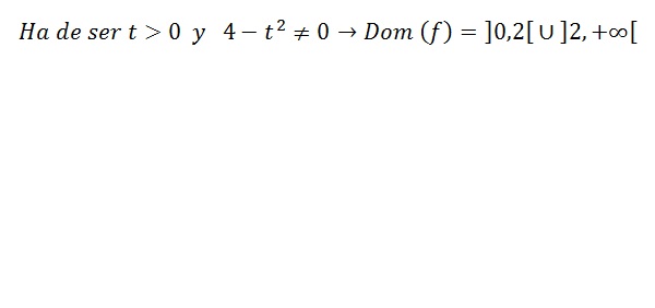
    Buenas, me ayudan con este dominio? Desde ya muchas gracias!

    replythumb_up0 voto/sflag
    icon

    Antonius Benedictus
    el 3/5/16

    Vale, Andrés:

    thumb_up0 voto/sflag
  • icon

    Ivan
    el 3/5/16

    hola, podrian ayudarme con el 5a)? porfavor

    replythumb_up0 voto/sflag
    icon

    Antonius Benedictus
    el 3/5/16

    Te ayudamos, Iván:

    thumb_up0 voto/sflag
    icon

    Ivan
    el 3/5/16

    gracias pero en el enunciado dice que el lim x->+inf de g(x) = 0, en ese caso porque queda 1 / ln(0+)?

    thumb_up0 voto/sflag
    icon

    Antonius Benedictus
    el 3/5/16

    Porque g(x)>0, Y ln(0^+)=-inf.

    thumb_up0 voto/sflag
    icon

    Ivan
    el 3/5/16

    muchas gracias

    thumb_up0 voto/sflag
  • icon

    María
    el 3/5/16

    ¡Hola!
    ¿Podría alguien ayudarme con este ejercicio de probabilidad?
    Está relacionado con el teorema de Bayes y de la probabilidad total

    replythumb_up0 voto/sflag
    icon

    Antonius Benedictus
    el 3/5/16

    Pues lo hacemos, María:

    thumb_up1 voto/sflag
  • icon

    Maga Perez
    el 3/5/16
    flagflag

    HOLA NECESITO AYUDA CON ESTOS PROBLEMAS DE PROBABILIDAD!!!! POR FAVOR!!!!

    replythumb_up0 voto/sflag
    icon

    David
    el 5/5/16

    Lo siento pero no podemos haceros los deberes, sobre todo si son como estos... sobre todo si son universitarios (unicoos por ahora se queda en bachiller).. Espero lo entiendas...

    thumb_up1 voto/sflag
  • icon

    Nerea
    el 3/5/16

    Holaa¡¡
    Alguien me puede ayudar con el siguiente ejercicio?
    Me pide que ponga la funcion que expresa la diferencia de dos numeros enteros cuyo producto es 36 y que indique el dominio.
    yo he expresado la funcion como: f (x) = x-y=36
    esta bien? como sigo? gracias.

    replythumb_up0 voto/sflag
    icon

    Antonius Benedictus
    el 3/5/16

    ¿Puedes poner foto del enunciado original, Nerea?

    thumb_up0 voto/sflag
  • icon

    The punk
    el 3/5/16
    flag

    Hola Unicoos necesito vuestra ayuda con un ejercicio, es de composición de funciones...he probado todos los enunciados menos este.
    Si g o f es inyectiva → f es inyectiva...

    replythumb_up0 voto/sflag
    icon

    Antonius Benedictus
    el 3/5/16

    Te ayudamos de nuevo, Punk:

    thumb_up0 voto/sflag
    icon

    The punk
    el 4/5/16

    Muchas gracias Antonio

    thumb_up0 voto/sflag
  • icon

    Aixa
    el 3/5/16

    ¡Buenas tardes!¿Me pueden corregir estos ejercicios de inecuaciones? Gracias

    replythumb_up0 voto/sflag
    icon

    Coté
    el 3/5/16

    Buenas tardes Aixa ,veo que en la primera inecuación te has comido una x que había en el primer miembro.
    Todo lo demás está bien.

    thumb_up0 voto/sflag
    icon

    Aixa
    el 3/5/16

    Gracias Coté. El ejercicio 3 tiene este apartado b, ¿me puedes decir si está bien?

    thumb_up0 voto/sflag
  • icon

    Desconocido
    el 3/5/16

    Alguien me puede confirmar si la ecuacion diferencial de Bernoulli y'=(4/x)y+xy^(1/2) da como resultado y^(1/2)=(x^2lnx)/2+Kx^2 ??

    Gracias

    replythumb_up0 voto/sflag
    icon

    Coté
    el 3/5/16

    MakezHD, Deriva el resultado (de forma implícita) y puedes comprobarlo tu solo

    thumb_up0 voto/sflag