
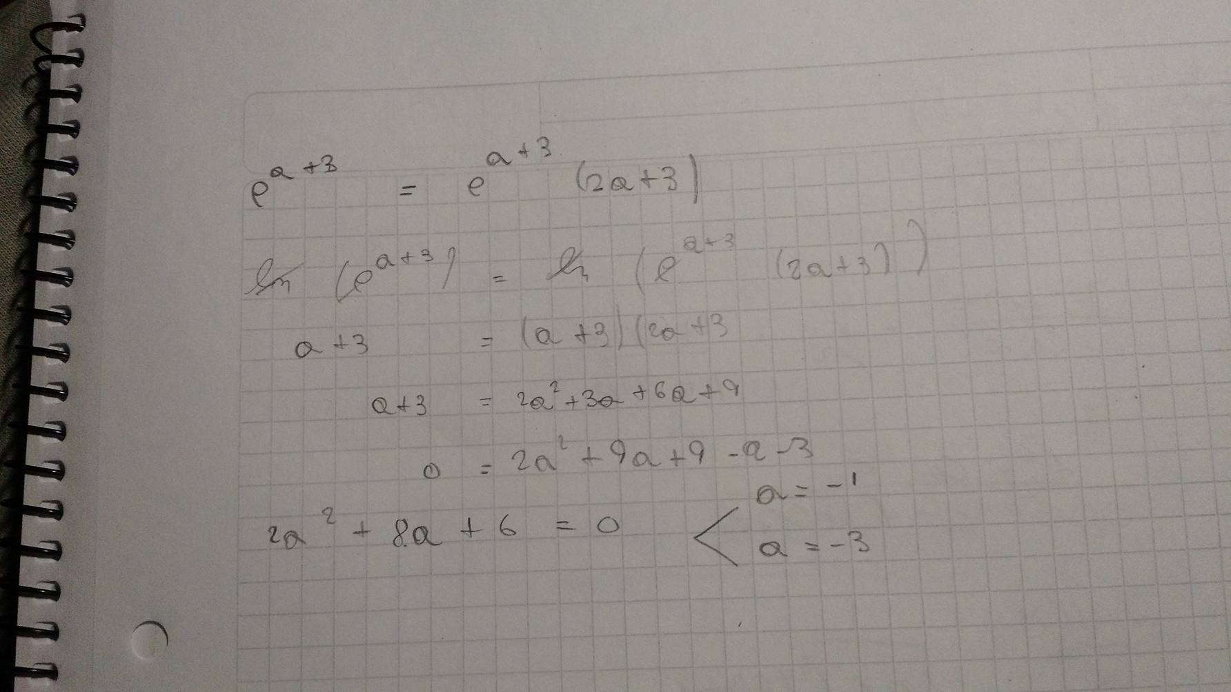
e^(a+3)=(e^(a+3))(2a+3)-->e^(a+3)-(e^(a+3))(2a+3)=0-->Ahora Factorizamos-->e^(a+3)(1-(2a+3))=0
e^(a+3)=0 v (1-(2a+3))=0
En la primera e^(a+3)=0 No hay un valor para a
En la segunda (1-(2a+3))=0 -->-2=2a-->a=-1
Por lo tanto a =-1
PD:
Siempre debes evaluar en la ecuación los valores que te salieron , para ver si el valor que te ha dado cumple o no ,por ejemplo al evaluar -1 en e^(a+3)=(e^(a+3))(2a+3)
tendríamos e^(-1+3)=(e^(-1+3))(2(-1)+3)->e^(2)=(e^(2))(1)-->e^(2)=e^(2) por lo tanto cumple =)
Ahora evaluamos para a=-3
e^(-3+3)=(e^(-3+3))(2(-3)+3)->e^(0)=(e^(0))(-3)-->1=-3 ,No cumple =(
hallar la ecuación de la recta tangente en el punto indicado.
p= 2
θ=π/4
Puede ser que p = raiz cuadrada de x^2+y^2.
Reemplazo y despejo y : y= Raiz(-x^2+4)
Ahi la derive pero no se que hacer con θ=π/4
Hola: ¿Existe la recta tangente a f(x) y cual es su pendiente?
f(x)= -2x^2 si x=0
Si, existe, pero la pendiente como la calculo ?
La pendiente es la derivada reemplazada por el valor de x=0
Seria reemplazar 3(0)^2 =0=m ?

No puedes hacer tu ejercicio porque para hacer la recta tangente a una funcion te deben decir en que punto tienes que obtener la recta tangente (el valor de xo)...
O no copiastes integramente el enunciado o es incorrecto. No puedo ayudarte mucho más..
Es posible te pidan la recta tangente en x=0.. En ese caso deberás comprobar que la funcion es derivable en x=0... Y para ello, Derivabilidad de un función a trozos
hola que tal? mi pregunta es la siguiente:
Se puede demostrar que si f(x) es continua en a entonces |f(x)| es continua en a. Mostrar con un ejemplo que la reciproca es falsa..
Hola, Alguien me podria dar una ayuda con este problema ? (procedimiento para resolverlo) no le encuentro la vuelta...
Tengo que encontrar la ecucion de la hiperbola sabiendo que pasa por el punto P (5;4/3) que tiene como eje focal el eje ox, y que una de sus asintotas es: y= - (1/3)*x
Buenas de nuevo, tengo un ejercicio que dice "Expresar la integral invirtiendo el orden de integración". Luego de graficar llegué a la siguiente resolución. Es correcta? Desde ya muchas gracias :)
Buenas, dónde puedo encontrar vídeos ( de los cuales 1ºbachiller) donde se mencionan recta tangente e inclinación con respecto a una función y su derivada?..
Por ejemplo, el enunciado me dice...
Determina la parábola y=ax²+bx+c que es tangente a la recta y=2x-3 en el punto A(2,1) y que pasa por el punto B(5,-2)
Me vale con indicarme dónde.. Gracias :)
[lo necesito de inmediato, tengo examen dentro de poco]
Buenas, tengo una pregunta de derivabilidad y continuidad. Yo se que si una función es continua puede ser derivable dependiendo del dominio no? Pero, cuando se que hay picos en una función? Por ejemplo: me dan una función que se que es continua pero puede ser continua y no tener picos, si no me dan la gráfica como se si tiene picos o no= Muchas gracias.

Comprobando si tiene máximos o minimos... Crecimiento y curvatura de una función polinomica