Foro de preguntas y respuestas de Matemáticas

logo beUnicoos
Los foros de unicoos se han unificado en nuestra nueva plataforma beUnicoos. Para dejar nuevas preguntas deberás hacerlo allí, donde además podrás encontrar nuevas asignaturas y herramientas para ayudarte más con tus estudios.

  • icon

    Miguel Angel Janko Quispe
    el 4/5/16

    hola, una vez subi un ejercicio para que me ayudaran a resolverlo, pero en cambio me sugirieron un link para ver un video relacionado al tema. Ok justamente eso es lo que pido en esta ocasion, Pido por favor que me sugieran alguna pagina o video o libro para hacer este ejercicio que poco y nada entiendo la consigna. Gracias.

    replythumb_up0 voto/sflag
    icon

    Antonius Benedictus
    el 4/5/16

    Te explicamos, Miguel Ángel:

    thumb_up1 voto/sflag
  • icon

    Sandy Murillo S...
    el 4/5/16

    Hola de nuevo unicoos, quisiera que me ayudeis con el siguiente problema de limirtes por favor:
    ■Determina la razón de cambio promefio de las funciones dadas en los intervalos.
    Disculpen la molestia, pero pido ayuda a ustedes porque son los expertos, me lío con la palabra "PROMEDIO" y me causa inseguridad. Muchas gracias de antemano.

    replythumb_up0 voto/sflag
    icon

    Antonius Benedictus
    el 4/5/16

    Te lo explicamos, Sandthis:

    thumb_up0 voto/sflag
  • icon

    cecilia
    el 4/5/16

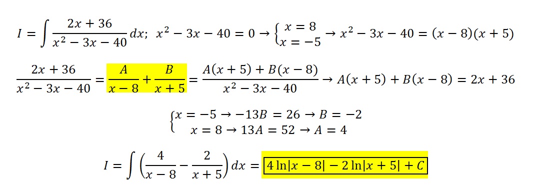
    Ayuda como se realiza por el método de fracciones parciales

    replythumb_up0 voto/sflag
    icon

    César
    el 4/5/16

    Va la ayuda

    thumb_up1 voto/sflag
    icon

    Antonius Benedictus
    el 4/5/16

    Te explicamos, Cecilia:

    thumb_up1 voto/sflag
  • icon

    Toby
    el 4/5/16

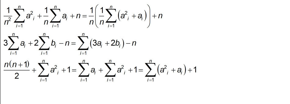
    Hola maestros de unicoos, buen dia. Les pido ayuda con estos límites, les ruegp que me colabore, estos límites son distintos a los comunes? Xq tienen el símbolo sigma. Solo pido ayuda con los más complicados los tres últimos, gracias x su ayuda. Att: El Toby.

    replythumb_up0 voto/sflag
    icon

    Antonius Benedictus
    el 4/5/16

    Ya ves cómo va, Toby:

    thumb_up0 voto/sflag
  • icon

    Sebástian
    el 4/5/16

    Hola chicos, disculpe alguien puede ayudarme aquí con este ejercicio de límites, lo necesito para mi cuaderno. Al que me ayude, le agradezco. Gracias

    replythumb_up0 voto/sflag
    icon

    Miguel Angel Janko Quispe
    el 4/5/16

    espero te sirva

    thumb_up0 voto/sflag
  • icon

    Sandy Murillo S...
    el 4/5/16

    Hola nuevamente amigos de unicoos; otra vez pidiendo vuestra valiosa ayuda con un problema, no doy con una solución mediante un proceso lógico. Muchisisisisisismas gracias por sie pre estar ahí. Les debo un mundo. Gracias de antemano a esa personita que vale mil. Cuidece saludos.

    replythumb_up0 voto/sflag
    icon

    César
    el 4/5/16

    seria (80/100)^8=0.1677%
    Pues el 1º (.8) el 2º (.8)(.8) .......el octavo (.8)(.8)(.8)(.8)(.8)(.8)(.8)(.8)=.8^8

    thumb_up0 voto/sflag
  • icon

    Deidara Stick.
    el 4/5/16

    Hello µnicos les pido que me ayuden como petición se los pido please, con lo pedido en la imagen. Y gracias amigos, se los quiere. Saludos. Good bye

    replythumb_up0 voto/sflag
    icon

    César
    el 4/5/16

    Va la ayuda Deidara

    thumb_up0 voto/sflag
  • icon

    Erick
    el 4/5/16
    flag

    El volumen del sólido de revolución que genera R= {(x,y) tal que 0

    replythumb_up0 voto/sflag
    icon

    David
    el 5/5/16

    Me encantaría ayudarte, pero no respondo dudas universitarias que no tengan que ver específicamente con los videos que ya he grabado como excepcion. Lo siento de corazón… Espero lo entiendas

    thumb_up0 voto/sflag
  • icon

    Erick
    el 4/5/16

    Hola si pueden ayudarme con este ejercicio de integral que me da un resultado pero al comprobarlo en WolfranAlpha el resultado es distinto. Gracias
    S= integral...

    S tg^3 (2x) dx

    replythumb_up0 voto/sflag
    icon

    antonella
    el 4/5/16

    Revisa este link esta resuelta la integral paso a paso.
    https://es.symbolab.com/solver/indefinite-integral-calculator/%5Cint%20tg%5E%7B3%7D%20%5Cleft(2x%5Cright)%20dx/?origin=button

    thumb_up0 voto/sflag
  • icon

    DueFreitas
    el 4/5/16

    Me podrian dar una mano en este de Hiperbola con Centro en el origen y Eje real sobre el eje de abscisas.

    replythumb_up0 voto/sflag
    icon

    Antonius Benedictus
    el 4/5/16

    No nos olvidamos de ti, Freitas:

    thumb_up1 voto/sflag
    icon

    DueFreitas
    el 4/5/16

    Gracias Antoniooo !

    thumb_up0 voto/sflag