Si |f(x)|≤5 ∀x∈[1,4] ==> -15≤∫f(x^2)*2x dx ≤ 15. No se me ocurre que hacer para demostrar si es verdadero o falso. Alguna ayuda??
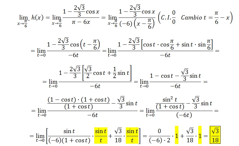
hola,necesito ayuda con este problema de continuidad porque realmente se me a complicado y no se como responderlo, puesto que no soy capaz de resolver la indeterminación que se da en la primer ecuación, racionalice pero no doy con la respuesta, muchas gracias de antemano

Es muy, muy fácil Ivan. Vamos allá.
Tienes que razonar geométricamente. Te están pidiendo la ecuación de un plano. ¿Qué necesitas para determinar un plano? Un punto que pertenece a ese plano (que ya te lo dan ) y dos vectores directores del plano. Como la recta que te dan está contenida en el plano, su vector director también lo está en él, por lo que te también será un vector director del plano.
Ya tienes dos cosas. ¿Cómo hallas el vector que te falta? Te dan la recta en ecuación continua (si te la diesen en otra, bastaría con pasarla tanto a continua como a paramétrica). De la ecuación sacas un punto, en este caso B(0, 2, 1). Coges ese punto B, el punto A y haces el vector AB, por ejemplo. De esta manera ya tienes dos vectores directores del plano y un pto perteneciente al mismo.
Puedes poner las ecuaciones que quieras pues no te lo especifican.
Hola, tengo un problema con estos apartados.
a) lím (4x^2/x-1 - 4x^2-2/x+1)
x-->infinito
b)lím (raíz de x^2 -1 + raíz de x^2 +1)
x-->2

Cuidado con los parentesis... Si el primero fuera 4x²/(x-1) - (4x²-2)/(x+1) tendrías que pasar a comun denominador... 4x²(x+1)/((x+1)(x-1)) - (4x²-2)(x-1)/((x+1)(x-1)) =
=(4x³+4x² - 4x³+4x²+2x-2)/((x+1)(x-1))=(8x² +2x-2)/(x²-1).. Y el limite te daría 8....
P.D. Se trata de que DESPUES DE IR A CLASE (ver los vídeos relacionados con vuestras dudas) enviéis dudas concretas, muy concretas. Y que nos enviéis también todo aquello que hayais conseguido hacer por vosotros mismos. Paso a paso, esté bien o mal. No solo el enunciado. De esa manera podremos saber vuestro nivel, en que podemos ayudaros, cuales son vuestros fallos.... Y el trabajo duro será el vuestro. #nosvemosenclase Nos cuentas ¿ok?
hola! porfa necesito ayuda en la ubicacion de la (raiz de 3) +2 en la recta real , se ubicar las solas raizes y numeros fraccionarios , gracias a los videos del profe de unicoos , pero tengo duda en este ejercicio, lo resolvi a mi manera , pero no se como me quedo , me podrian ayudar!!.

Jonathan, al momento de ubicar raices en la recta real, lo mejor es aproximarlas, por ejemplo √2 es aproximadamente 1.4142..., entonces solo debes ubicarlo en ese numero (en 1.4 aprox) √3 es 1.7320... (1.7 aprox) y √3+2 es 3.7320... (aproximado es 3.7) solo ubicalo en estos decimales y listo!!!
espero haberte ayudado!
Saludos!