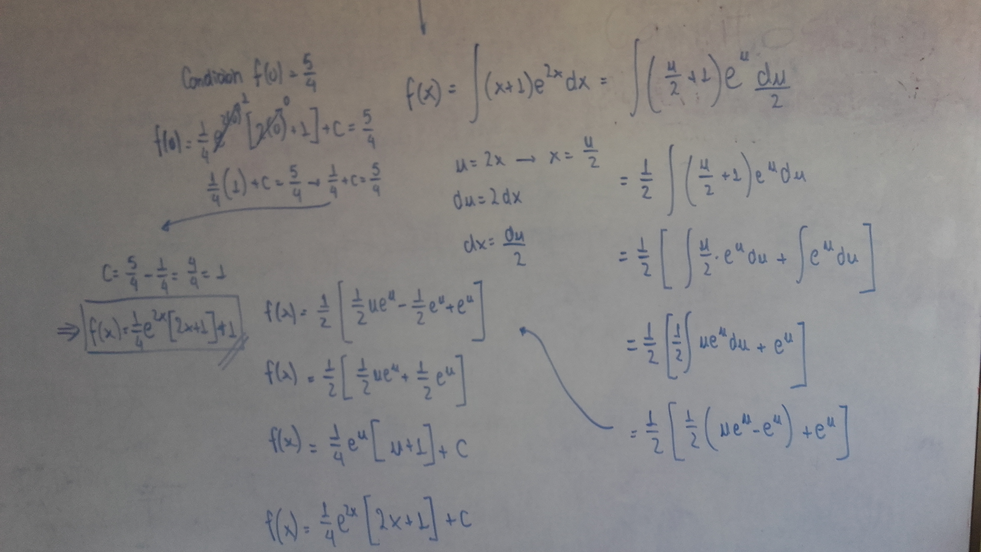
Hola! Tengo esta funcion en forma explicita que tengo que pasar a implicita despejando "y" pero no tengo ni idea de donde empezar...me podrian mostrar el procedimiento?
e^y+3x-e^(y-1)-cos(x)=e^(2+y)
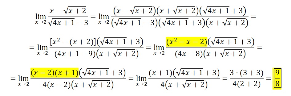
buenas noches, me podrían decir que propiedad se utilizan acá para saber esta igualdad : x e y son vectores ||x+y||²= < x+y , x+y > (producto escalar)

Has puesto mal la fórmula, Nico. Tal como lo has puesto, se cumple la igualdad, pues el módulo de un vector se define como la raíz cuadrada positiva de su cuadrado escalar.
Imagino que lo que querías es : (mód(x)+mód(y))^2 ≥ (x+y)·(x+y)
El producto escalar (x+y)·(x+y)=x^2+xy+yx+y^2=(mód(x))^2+2xy+(mód(y))^2=(mód(x))^2+2(mód(x)·mód(y)·cos (x,y)+(mód(y))^2
Entonces, como abs(cos(x,y))≤1→
(x+y)·(x+y)≤(mód(x))^2+2(mód(x)·mód(y)·1+(mód(y))^2=(mód(x))^2+(mód(y))^2+2(mód(x)·mód(y)=(mód(x)+mód(y))^2→
(mód(x)+mód(y))^2 ≥(x+y)·(x+y)
Hola UNICOOS, disculpen me pueden ayudar a explicarme este ejercicio de derivadas de logaritmos porfavor,
y= log (2x+5)∧4 ⁄√x(x-3)

Paso a paso, con mucha paciencia... Se trata de que DESPUES DE IR A CLASE (ver los vídeos relacionados con vuestras dudas) enviéis dudas concretas, muy concretas. Y que nos enviéis también todo aquello que hayais conseguido hacer por vosotros mismos. Paso a paso, esté bien o mal. No solo el enunciado. De esa manera podremos saber vuestro nivel, en que podemos ayudaros, cuales son vuestros fallos.... Y el trabajo duro será el vuestro. #nosvemosenclase Nos cuentas ¿ok?
P.D. Podría hacer una excepción e intentar ayudarte pero tengo la sospecha de que te has comido parentesis... ¿El denominador sería (√x(x-3)) o √(x(x-3))?
¿El logaritmo afecta a todo o solo a (2x+5)^4?
Hoola! Tengo dudas con este ejercicio de áreas de integrales, cuando me dice los puntos de abscisas 0 y 1, ¿se refiere a los puntos que limitan el área? Gracias
Buenas noches, esta es una pregunta no específicamente de un problema que me han mandado en clase, sino uno de un concurso de matemáticas de 4ESO.
¿Cuál es la probabilidad de que un número de 10 cifras contenga los 10 dígitos?
Los casos posibles serían todas las variaciones sin repetición de 10 cifras cogidas de 9 en 9 (no cojo todas porque no puede haber un 0 al principio del numero), o sea, V 10,9=10!/1! . Como luego puede tener 9 cifras iniciales, del 1 al 9, lo multiplico por 9.
Los casos favorables serían todas las variaciones con repetición de 10 cifras cogidas de 9 en 9, o sea, VR=10^9. Luego lo multiplico por 9 porque puede haber 9 cifras iniciales.
Ahora aplico Laplace, 10!*9/10^9*9. Quito los 9, 10!/10^9, y quito el 10 del 10! con un 10 de abajo, y me queda 9!/10^8. El problema es que la solución me tiene que dar 9!/10^9, no a la 8. ¿Me podéis ayudar? Espero que aunque sea de concurso no plantee ningún problema a la hora de preguntarlo en los foros. Gracias de antemano :)

Te explicamos, David:
CASOS FAVORABLES: La primera cifra (≠0), 9 posibilidades. Para las restantes, las permutaciones de las demás cifras: 9!. Total 9·9!
CASOS POSIBLES: Para la primera cifra: lo nismo. Para las demás, variaciones con repetición de 10 cifras tomadas de 9 en 9. Total 9·10^9
Probabilidad: 9!/10^9