Acabo de empezar con las integrales dobles y se me pide la integral que habría que calcular para sacar el área delimitada por estas funciones: y=1, x=2 y y=x^2.
Quisiera saber si lo he resuelto correctamente. Gracias

Me encantaría ayudarte, pero no respondo dudas universitarias que no tengan que ver específicamente con los videos que ya he grabado como excepcion. Lo siento de corazón… Espero lo entiendas...
P.D. Si te sirve de consuelo las proximas excepciones universitarias en video serán sobre integrales dobles y triples... ANIMO!
Holaa
Podrían ayudarme con este ejercicio:
Porque el rango de A es 2 si utilizando otro menor complementario de la matriz como este
1 2 0
-1 0 4
-3 4 4
Obtenemos como determinante -32 que es distinto de cero,entonces el rango podría ser 3?.

Cuando calculas el menor de orden 2, escojes el menor que más te gusta, o el que sea más fácil, pero una vez ya vas a calcular los menores de orden 3, estás obligado/a a que el menor de orden 2 esté dentro del menor de orden 3. Con el menor de orden 3 que nos propones en el enunciado, no contiene el menor de orden 2 inicial, y por eso te da un determinante distinto de 0.
Si te fijas, en el problema que nos has mandado, todos los determinantes contienen el menor de orden 2 inicial.

A ver María. Te lo explico como lo concibo:
El área del triángulo es CB·CA/2. Si dividimos la altura del triángulo entre tres (CA/3) y como los segmentos EF y DC son proporcionales, quiere decir que al dividir la altura por tres para esa misma base AB, el área del cuadrilátero señalado es 1/3 del area total, es decir 9m³/3=3m³
Un saludo.

Bien, pues el razonamiento sigue siendo el mismo. pues la altura que sea es perpendicular a AB y sigue estando en la misma proporción que he explicado antes, con lo cual el área sería 1/3 de la razón entre la altura real y la altura que yo tomé antes al considerar un triángulo rectángulo. Un saludo.
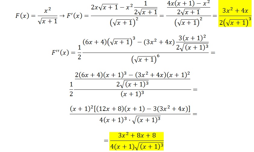
Hola, muy buenas tardes a todos. Miren, llevo horas intentando esta derivada segunda y necesito resolverla ya que el lunes tengo examen de análisis matemático. Si me pudieran ayudar, por favor, se lo agradecería con toda mi alma
La función original es : F(x) = x^2 / (x+1)^1/2
La primera derivada la tengo, el problema es la segunda. Gracias de antemano
UnICOOS no se que pasa con la pagina ,que al enviar una imagen de mi duda ,se demora demasiado que nos desesperamos y apretamos varias veces envia tu pregunta y despues sale Error ,Luego demora cargar la pagina y al entrar de nuevo notamos que aparecen varias publicaciones repetidas de nuestras dudas =( (pero ni asi sale la imagen ) ,es por eso que puedes observar que a varios le ha pasado ,nosotros no tenemos la culpa =( ,por favor arreglenlo!!!