Foro de preguntas y respuestas de Matemáticas

logo beUnicoos
Los foros de unicoos se han unificado en nuestra nueva plataforma beUnicoos. Para dejar nuevas preguntas deberás hacerlo allí, donde además podrás encontrar nuevas asignaturas y herramientas para ayudarte más con tus estudios.

  • icon

    GABRIELA
    el 9/4/16

    GRACIAS UNICOOS POR TANTOOOO !!!!!!!!!! ME HAN AYUDADO MUCHISIMO, GRACIAS DE VERDAD !!!!!!!!!!!!!

    replythumb_up1 voto/sflag
    icon

    David
    el 9/4/16

    :D

    thumb_up4 voto/sflag
  • icon

    Fernando
    el 9/4/16
    flag

    Hola me ayudan no entiendo cuando es un conjunto abierto y conexo? Por ej III) la representación es el cuadrante 1 y 3 sin incluir los ejes? Gracias

    replythumb_up0 voto/sflag
    icon

    David
    el 9/4/16

    Lo siento pero no entiendo tu pregunta... no tiene sentido... ¿algun ejercicio concreto?

    thumb_up1 voto/sflag
    icon

    Fernando
    el 10/4/16

    Este era el ejercicio no se subió la imagen.

    thumb_up0 voto/sflag
  • Usuario eliminado
    el 9/4/16

    Ayuda para obtener el valor de c
    es sobre el teorema del valor medio para integrales
    f(x)=cos(x) [-pi/3, pi/3] y f(x)= 9/x^3 [1,3]

    replythumb_up0 voto/sflag
    icon

    David
    el 9/4/16

    ¿has visto este video?... Valor medio de una función

    thumb_up0 voto/sflag
    icon

    Antonius Benedictus
    el 9/4/16

    Una ayudita, Ale:

    thumb_up0 voto/sflag
  • Usuario eliminado
    el 9/4/16
    flag

    hola me podrian ayudar con esto.. debo encontrar el valor medio de la funcion sobre el intervalo dado y todos los valores de "x" en el intervalo para los cuales la funcion sea igual a su valor promedio
    y pues el valor medio ya lo encontre pero los valores de "x" no se como obtenerlo
    f(x)= 4+x^2, [-2,2] valor medio=32/3, valores de x= ?
    f(x)=cos(x), [0.pi/2] valor medio= 1, valores de x=?

    replythumb_up0 voto/sflag
    icon

    David
    el 9/4/16

    ¿has visto estos vídeos? Valor medio de una función

    thumb_up0 voto/sflag
  • icon

    Ricardo
    el 9/4/16
    flag

    Hola que tal, me preguntaba si pudiesen explicarme un poco mejor el metodo de Hermite-Ostogradski con el siguiente ejercicio ya que lo llevo hasta cierto punto pero luego ya no logro dar con la respuesta que me ofrece la guia

    ∫ 4x²+4x dx /
    (2x² +2x +1 )²

    El metodo me expresa: P(x)1/Q(x)1 + ∫ P2(x)/Q(x)2

    siendo Q(x) : (2x²+2x+1)² Q(x)1 : q(x)/q(x)2
    Q(x)2 : 2x² +2x +1

    Lo cual me deja : Ax+B/ (2x²+2x+1) + ∫ Cx +b / 2x²+2x+1

    replythumb_up0 voto/sflag
    icon

    David
    el 9/4/16

    Me encantaría ayudarte, pero no respondo dudas universitarias que no tengan que ver específicamente con los videos que ya he grabado como excepcion. Lo siento de corazón… Espero lo entiendas

    thumb_up1 voto/sflag
    icon

    Ricardo
    el 9/4/16

    Si te muestro donde he llegado ya que en ese paso hay que aplicar Fracciones parciales, podrías darme una mano? , saludos estimado david

    thumb_up0 voto/sflag
  • Usuario eliminado
    el 8/4/16

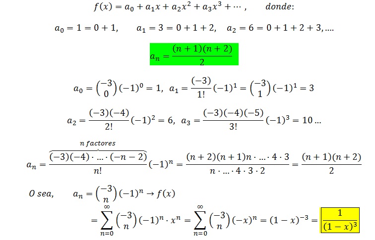
    Hola, alguien me ayuda con esta serie:
    Calcular "E":
    E= 1 + 3x + 6x² + 10x³ + 15x⁴ + ....
    Donde: 0 < x < 1
    Gracias

    replythumb_up0 voto/sflag
    icon

    David
    el 9/4/16

    La x cada vez está elevada a un numero mayor... El siguiente termino será x^5... Cada termino será x^(n-1)...
    En cuanto a 1,3,6,10,15... no logro averiguar que relación tienen... no es ni aritmetica ni geometrica...

    thumb_up0 voto/sflag
    icon

    Antonius Benedictus
    el 9/4/16

    Te ayudamos, FUXP:

    thumb_up0 voto/sflag

    Usuario eliminado
    el 9/4/16

    Mil gracias!!

    thumb_up0 voto/sflag
  • icon

    Marc Garnica
    el 8/4/16
    flagflag

    Ayuda por favor si n es un numero natural y 3n+1 es un cuadrado perfecto demostrar que n+1 es suma de tres cuadrados perfectos.

    replythumb_up0 voto/sflag
    icon

    David
    el 9/4/16

    Me encantaría ayudarte, pero no respondo dudas universitarias que no tengan que ver específicamente con los videos que ya he grabado como excepcion. Lo siento de corazón… Espero lo entiendas

    thumb_up0 voto/sflag
    icon

    Antonius Benedictus
    el 9/4/16

    Te doy una pista, Marc, de cómo van las cosas...

    thumb_up0 voto/sflag
  • icon

    Elena Gilbert Sommers
    el 8/4/16

    Se supone que esto es para ayudar, no para no hacerlo y poner que una pregunta correctamente planteada es ambigua, vaga y poco concreta. Con todo el respeto es de muy mala educación decir que van a ayudar y después borrar el comentario y poner eso.

    replythumb_up1 voto/sflag
    icon

    David
    el 9/4/16

    Exacto. Es sólo para ayudaros. SI SOLO DEJÁIS EL ENUNCIADO, la pregunta es VAGA y POCO CONCRETA...
    Besos!

    thumb_up0 voto/sflag