En plan, yo con el ejercicio que envié antes tengo que hacer la resolución a mano que sinceramente he planteado las dos ecuaciones de mallas pero no sé como continuar, he adjuntado dos imágenes más que corresponden a otro ejercicio para que se vea lo que tengo que hacer pero es que no entiendo.

Hola Mario:
Ahora das alguna informacion más... Hay que resolverlo a mano tambien.
Aunque te parezca que mi respuesta anterior no te ha servido de nada, ya estaba planteada la solucion que te llevaria a la ecuacion diferencial a resolver por T. de Laplace.
En mi adjunto te reescribo como llego a la ecuacion diferencial a resolver.
Espero que ahora si te sirva de "algo".
Nos vemos.

https://www.youtube.com/watch?v=X90inB7uwzA en mi video lo explico y resuelvo ese problema , el mismo exacto,ente igual , saludos
La tecnología constantemente se actualiza y China siempre esta en el punto mas alto, sus innovaciones sobrepasan todo, son realmente impresionantes, viaje a China https://www.viajeachina.com/ y pude verlo por mi mismo, Sin duda es el mejor País del mundo
Buenas, en esta página pueden encontrar mucha información sobre tecnología, se la recomiendo https://hinforcom.com/

Hola Mario:
Como sabes en Unicoos tratamos de ayudaros en vuestro aprendizaje pero para ello necesitamos saber hasta donde habeis llegado y donde os habeis detenido. Decir que "no tengo ni idea" no nos da pistas.
Entiendo que sabes que la resolucion de circuitos LC en el tiempo requiere el empleo de ecuaciones diferenciales y entiendo que para ello te piden el uso de MathLab.
Las ecuaciones diferenciales salen del estudio por mallas del circuito:
e(t) = L* d iL(t)/dt + vC(t) =5* u(t)
vC(t) = (1/C)*∫ (iL(t) - iR(t)) dt
vC(t) =iR(t)* R
Y las condiciones de contorno dadas por el estado "cero" en el que supongo que la corriente en el condensador es cero y la tension en la bobina es cero
Y te piden averiguar el valor de vC en el tiempo t= 50*10-3 seg con MathLab
Luego averiguar la respuesta en frecuencia del circuito (diagrama de Bode) con LTSpice y los valores en ciertos puntos de frecuencia.
Supongo que entiendes que el empleo de ambas herramientas esta fuera del alcance de nuestra ayuda.
Espero haberte orientado. Nos vemos!
Hola amigos!!! si tienen dudas sobre cualquier tema de tecnología en https://www.consarca.com/ hay mucha información, a mi me ayudó...
Buenos dias . Tengo un par de dudas en la resolucion de dos problemas de circuitos electricos mixtos si pidierais ayudarme os lo agradeceria .![]()
![]()

Se trata de que DESPUES DE IR A CLASE (ver los vídeos relacionados con vuestras dudas) enviéis dudas concretas, muy concretas. Y que nos enviéis también todo aquello que hayais conseguido hacer por vosotros mismos. Paso a paso, esté bien o mal. No solo el enunciado, pero no olvidéis de adjuntarlo de forma LITERAL, para saber que os piden. De esa manera podremos saber vuestro nivel, en que podemos ayudaros, cuales son vuestros fallos.... Y el trabajo duro será el vuestro. Nos cuentas ¿ok? #nosvemosenclase ;-)

Hola Josep:
La dificultad de estos ejercicios esta en ver que resistencias estan an paralelo y cuales en serie. En estas ultimas la corriente es la misma en ellas y en las paralelo la tension es la misma en todas ellas. El procedimiento es simplificar al maximo el circuito, calcular corrientes y tensiones en el circuito simplificado y ahora ir "hacia atras" calculando las corrientes o tensiones en nuestro circuito original.
Yo ya lo he hecho en el primero de ellos para que veas el metodo a seguir y lo puedas aplicar tu. Te lo pego.
Nos vemos!!!!!
Sabéis como resolver el voltaje de A a B sin utilizar el divisor de tensión, sino utilizando la ley de Kirchhoff?

Hola Sergio:
La dificultad de este ejercicio es saber agrupar las resistencias en serie o en paralelo para llegar al segundo circuito ya mas simplificado. Calcular Vab mediante un divisor de tension es lo mejor. Kirchoff no tiene sentido puesto que no tienes nudos, es una unica malla. Puedes calcular mediante la ley de Ohm la expresion de la corriente I que circula por esa malla y luego calcular Vab como Vab=V1- I*2R, que es como se ha calculado la expresion del divisor de tension.
Nos vemos!!!!!

Hola Sergio:
La imagen de arriba te lo explica, como por las bases de los transistores la corriente es muy pequeña la despreciamos por lo que tenemos una rama con la alimentacion de 7v que pasa por dos resistencias identicas R y baja hasta la otra tension de 5v, por tanto que tension cae en las dos resistencias? 7-5=2v Luego que cae en cada resistencia? La mitad, 1v. Por tanto la tension en la base de los transistores sera 5v mas la tension de 1V que cae en R =6v (o 7v menos 1v que cae en la otra R)
De acuerdo?
Nos vemos!!!!!
Hola buenas team unicoos, necesito ayuda. He de hacer el flujo grama de una puerta automática de un garaje y necesitaría ayuda. Mi puerta de garaje consta de 2 sensores de posición, uno en la parte superior i otra en la inferior, estos sensores se encargan de indicar cuando la puerta ha llegado al final de su trayecto, para detener la puerta cuando se abre o se cierra. También consta de un sensor infrarrojo para que cuando la puerta sé este cerrando y detecta un objeto detenga su recorrido y se vuelva a abrir. También tengo que implementar un temporizador cuando la puerta este abierta y pasa un determinado tiempo, por ejemplo 15 segundos se cierra automáticamente. I finalmente mi puerta se abre y cierra con un comendamiento a distancia. Si alguien me pudiera ayudar me serviría de gran ayuda.
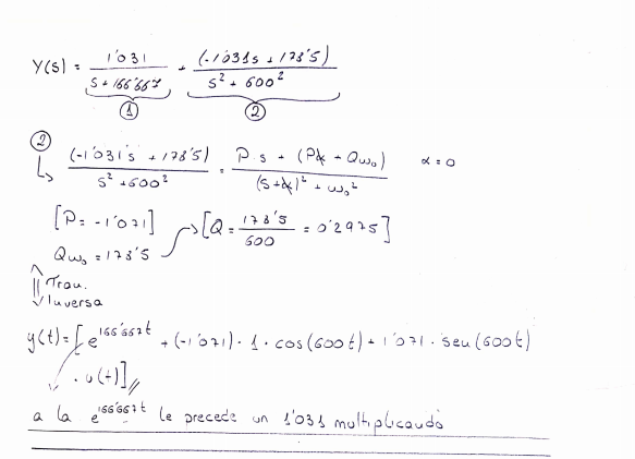
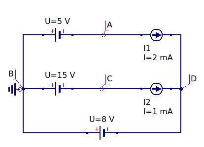
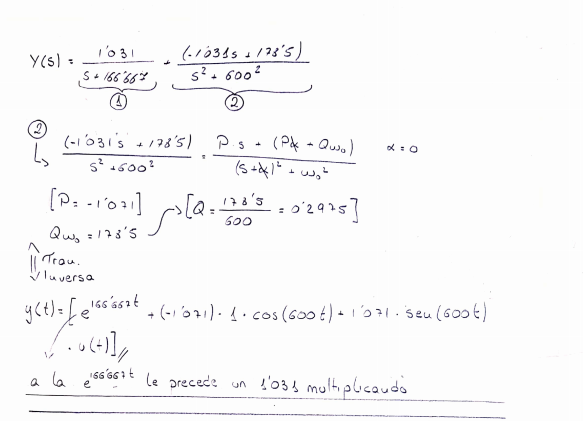
Buenas a todos... tengo este ejercicio en el cual me piden hallar las potencias que suministran las dos fuentes de corriente, el problema es que como no tengo resistencias intente hacerlo por mallas y tmb por nodos pero no pude llegar al resultado del libro y estoy casi toda una tarde intentando razonar y no pude porque nunca resolvi ejercicios que no tengan resistencias, alguien podria ayudarme por favor

Hola Cristian!
Nos piden la potencia suministrada por las fuentes de corriente (P = V*I). La potencia suministrada por las de tension nos la dan verdad? Si, ya que conocemos su tension y la corriente que las atraviesa (al ir en serie con los generadores de corriente!!! estos fuerzan la corriente).
En los generadores de corriente conocemos eso, la corriente, pero nos falta la tension. La configuracion del circuito nos permite calcular la tension de forma sencilla al tener un generador de tension en paralelo con las otras dos ramas. Eso quiere decir que podemos deducir facilmente la tension en cada generador de corriente, solo hay que tener cuidado con los signos de las tensiones. Mira mi imagen y lo veras.
El signo negativo en la potencia solo tiene sentido de explicar que la corriente y la tension llevan el mismo sentido. Igual que pasaria con el generador de tension de 8v atravesado por los 3 mA.
Este es un ejercicio teorico porque si los generadores aportan energia, donde se disipa esta si no hay resistencias? La realidad seria que los generadores tienen resistencias internas, distintas de cero en el caso de los de tension y distintas de infinito, en paralelo, en el caso de los de corriente, y por ahi se disiparia la energia suministrada.
La forma más sencilla de resolverlo es por nodos, tomas los 4 nodos que te indican en el problema, y tomas el que te sea más fácil como tierra (nodo con potencial 0), en mi caso he tomado VB= 0V, a partir de ahí es ir sumando y restando:
Los potenciales de cada nodo habiendo tomado B como tierra quedan:
Nodo A: VA = -5 V (es negativo porque la corriente lo atraviesa positivamente en sentido de izquierda a derecha, de B hasta D hay 2 mA, y atraviesa la fuente entrando por el positivo y saliendo por el negativo)
Nodo B: VB = 0 V (Nuestro tierra)
Nodo C: VC = -15 V (negativo porque la corriente va en sentido B ---> D, entra por el positivo de la fuente de voltaje y sale por el negativo de esta)
Nodo D: VD = -8 V
Por lo que calcular el potencial de las fuentes de intensidad sería aplicar la fórmula P = V*I
P2mA = VAD * I1 = (VA - VD) * 2 = (-5 + 8) * 2 = 3*2 = 6 mW
P1mA = VCD * I2 = (VC - VD) * 1 = (-15 + 8) * 1 = -7*1 = -7 mW

Hola Jorge!
En la descripcion del enunciado se entiende que primero se produce una transformacion a Presion constante (Isobarica), luego otra Adiabadica (por el producto de (P*V)ganma =cte) y por ultimo una Isotermica.
Te recomiendo que veas los videos de David en los siguientes enlaces donde resuelve un problema de Ciclo de Carnot. Si bien en el hay trasnformaciones Isotermica-adiabatica-isotermica-adiabatica, es muy instructivo para entender todo el proceso de transformacion de energia y calor.
https://www.youtube.com/watch?v=6mlL4wTYelM
https://www.youtube.com/watch?v=Gy6dYMD3Tug
Aqui te pego
el esquema de las trasformaciones: