hola será que me puede ayudar con este ejercicio de diseño mecanico de ingeniería mecánica por favor , gracias
El gato mecánico de la figura, tiene las siguientes dimensiones: diámetro medio, dm =
0.667 in, p = 0.167 in y con un coeficiente de fricción de 0.2 El mismo es usado para levantar
un auto que pesa 2640 lb, La llave de cambio de llantas tiene una longitud de 30 pulgadas.
Determinar:
a. La fuerza a aplicar en la llave, para el cambio de una llanta, considere que la distribución del
peso del auto es la misma para cada una de las 4 llantas.
b. Calcule la eficiencia del tornillo.
c. Si quisiera mecanizar el proceso, comprando un motor eléctrico para hacer rotar el tornillo, cuál
debería ser la potencia del motor, para que el tornillo rotará a 35 rpm
d. Verifique que el tornillo es autoasegurante.

Se trata de que DESPUES DE IR A CLASE (ver los vídeos relacionados con vuestras dudas) enviéis dudas concretas, muy concretas. Y que nos enviéis siempre también todo aquello que hayais conseguido hacer por vosotros mismos. Paso a paso, esté bien o mal. No solo el enunciado. De esa manera podremos saber vuestro nivel, en que podemos ayudaros, cuales son vuestros fallos.... Y el trabajo duro será el vuestro.

Hola Alba:
Como sabes desde Unicoos tratamos de ayudaros en vuestras tareas de aprendizaje, por eso siempre os decimos que nos mostreis vuestros resultados para ayudaros. No basta con que pongais los enunciados. Si os damos los problemas resueltos no los trabajais y no aprendeis.
Voy a explicarte como resolver este tipo de problemas:
- la ley de Ohm es la base que rige cualquier circuito electronico, por tanto debes comprenderla muy bien para acometer su resolucion. V=I*R es la ley de Ohm que se podria leer como la tension que cae en un elemento pasivo (que solo consume energia) de un circuito es igual al producto de su resistencia interna al paso de corriente multiplicado por ese resistencia interna.
- cuando nos dan circuitos formados por varias mallas (o lazos cerrados), por cada una de ellas podriamos especular que circula una corriente diferente, y en cada malla calcular esa corriente calculando la suma de las tensiones de los generadores que hay en esa malla igual a la suma de las tensiones que caen en esa malla. Habra que tener en cuenta si ambas tensiones favorecen o no el sentido de la corriente y en cada caso poner un signo positivo o negativo.
Mas explicaciones sobre esto lo puedes ver en mi contestacion el 9/5/19 a Yineth
Te pego una indicaciones para calcular todos las incognitas que te plantean.
La proxima vez aporta tus calculos!!!
Nos vemos!!!!!!!

Como sabes solo respondemos a dudas de hasta secundaria, si bien a veces ayudamos tambien con algunas dudas universitarias. Naturalmente el Foro General es para que planteeis a la comunidad vuestras dudas de estudios y cada cual aporte lo que pueda, puede que no te puedan ayudar, pero adelante, seria estimulante veros intercambiar informacion sobre vuestros conocimientos en Processing, Java o C+ !!!!!! Nos vemos!!!!!

Como sabes solo respondemos a dudas de hasta secundaria, si bien a veces ayudamos tambien con algunas dudas universitarias. Naturalmente el Foro General es para que planteeis a la comunidad vuestras dudas de estudios y cada cual aporte lo que pueda, puede que no te puedan ayudar, pero adelante, seria estimulante veros intercambiar informacion sobre vuestros conocimientos en Processing, Java o C+ !!!!!! Nos vemos!!!!!

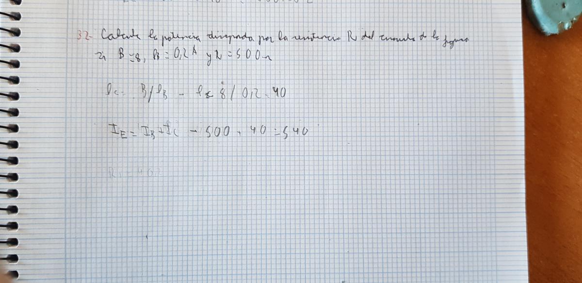
Me pueden decir si lo hice bien? Es el 32

Dado el valor del parámetro "β" y la corriente de la base "IB" podemos hallar la corriente del emisor "IE" aplicando la ecuación:
IE = (1 + β)*IB
Entonces, reemplazando datos y desarrollando:
IE = (1 + 8)*0.2
IE = 1.8 A
Y esta corriente es la que pasa por la resistencia "R1".
Aplicamos la ecuación que nos da la potencia "P" en función de la resistencia "R1" y la corriente "IE":
P = R1*IE2
Dicho esto, reemplazamos datos y desarrollamos para dar con la respuesta:
P = 500*1.82
P = 1620 W
¿Cual es la diferencia entre buscador y navegador?

Los navegadores son programas que se instalan en el ordenador y que están diseñados para intermediar entre el usuario e Internet. Por ejemplo: Microsoft Internet Explorer, Mozilla Firefox, Google Chrome, Apple Safari.
Los buscadores son sistemas informáticos que a través de un índice de contenido presente en diversos servidores nos permiten buscar información, como un fichero de una biblioteca. Funcionan con palabras clave (keywords) y árboles jerárquicos por temática. Suelen operar con su propia página Web, a la que podemos acceder mediante una dirección específica, y son una forma de organizar la ingente cantidad de información que hay en línea. Por ejemplo: Google, AltaVista, Bing, Yahoo.
Puedes leer mas en https://www.ejemplos.co/diferencias-entre-navegador-y-buscador/
¿cual es la diferencia entre software y hardware?

Hardware es el conjunto de componentes físicos de los que está hecho el equipo y software es el conjunto de programas o aplicaciones, instrucciones y reglas informáticas que hacen posible el funcionamiento del equipo.
Puedes aprender más en https://edu.gcfglobal.org/es/informatica-basica/que-es-hardware-y-software/1/
Hola únicos! Soy nuevo resolviendo circuitos, y no consigo hallar las ecuaciones para la resolución del circuito, podéis ayudarme?![]()

Asignamos un valor de corriente "I1" a la malla que involucra la fuente de voltaje de 1 V, la resistencia de 4 kΩ y la fuente dependiente de corriente 5*IA.
Asignamos un valor de corriente "I2" a la malla que involucra la resistencia de 2 kΩ, la fuente de voltaje de 2 V, la resistencia de 3 kΩ y la fuente dependiente de corriente 5*IA.
Asignamos un valor de corriente "I3" a la malla que involucra la resistencia de 5 kΩ, la fuente independiente de corriente de 2 mA y la resistencia de 3 kΩ.
Todas estas corrientes asignadas irán en sentido horario, como podrás ver en la siguiente imagen:
Dicho esto, podemos ya empezar a escribir ecuaciones.
De por si, en este circuito solo podemos escribir una ecuación de malla.
Dicha malla es la designada por el cuadrado ABCD (ver imagen anexada).
Entonces, aplicando la ley de voltajes de kirchhoff a esta malla tenemos que:
R1*I1 + R2*I2 - 2 + R4*(I2 - I3) - 1 = 0
Reemplazando valores:
4x103*I1 + 2x103*I2 - 2 + 3x103*(I2 - I3) - 1 = 0 [1]
Las dos ecuaciones faltantes salen del análisis de las fuentes de corrientes (ecuaciones auxiliares).
De la malla que rodea I3, esta mas que claro que:
I3 = - 2 mA = - 2x10-3 A [2]
Y del ramal intermedio donde esta la fuente dependiente de corriente tenemos que:
I2 - I1 = 5*IA
Pero:
IA = I2 - I3
Por lo que:
I2 - I1 = 5*(I2 - I3) [3]
Tienes un sistemas de tres ecuaciones con tres incógnitas.
Aplicando cualquier método matemático para resolver, debes obtener que:
I1 = 19/5500 A
I2 = - 37/11000 A
I3 = - 1/500 = 2 mA
Dejo los valores de "I1" e "I2" expresados en fracciones para no perder ningún decimal.
Si esta fuera la respuesta final del ejercicio, podrías entonces dar un aproximado.
Si tienes que calcular algo mas en base a estas corrientes, te recomiendo usar el valor fraccionario para dar con la respuesta mas precisa.
Buenas,
¿Alguien puede darme una breve explicación sobre el funcionamiento de los arcos en las construcciones? O más bien, por qué son útiles por ejemplo frente a un dintel.
Por lo que he leído es debido a que en un dintel, el material tiene que soportar tracción y compresión, pero si es un arco solamente soporta compresión.
Si eso es correcto, y pudieran darme una explicación breve de lo que es la tracción y la compresión, lo agradezco.

Hola Clow!
Puedes ver una explicacion en
https://www.edu.xunta.es/espazoAbalar/sites/espazoAbalar/files/datos/1464947489/contido/4_esfuerzos.html
Nos vemos!