¡UPS! Para ver vídeos en la web debes estar registrado, es totalmente gratuito.

Recuerda además que sólo por ser unicoo, GRATIS, podrás dejar tus dudas en los foros de beUnicoos, acumularás energy y help points y ganarás decenas de medallas. Registrarte solo te llevará unos segundos. Nosotros somos unicoos ¿y tú? #nosvemosenclase

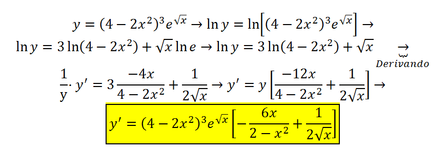
Derivada de una función 04- Regla de la cadena Interpretado en lengua de signos

Este video incluye subtítulos y ha sido interpretado en lengua de signos para ayudar a personas con discapacidad auditiva GRACIAS a la Plataforma Educativa Peecas y a ASPANPAL, Asociación de Padres de Niños con Problemas de Audición y Lenguaje. #Accesibilidad​ #EducaciónAccesible.
Este es el segundo de una serie de videos dedicados a la derivada de una función. En ellos, a partir de la REGLA DE LA CADENA y la tabla de derivadas más comunes, obtendremos la derivada inicial de algunas funciones complejas.
Después procederemos a simplificar el resultado de cada derivada, probablemente el paso más difícil.

ACLARACION. En el minuto 5:00, en vez de 4-2x³, es 4-2x². Puse una anotación en el vídeo (os sugiero las activeis) El resultado varia un poquito debido a este fallo. SORRY!

Agregar a mi mochila
0/ 700

* Para utilizar tu mochila o guardar tu progreso y acumular energy points debes ser usuario registrado. Regístrate o inicia sesión

Foro de preguntas y respuestas

logo beUnicoos
Los foros de unicoos se han unificado en nuestra nueva plataforma beUnicoos. Para dejar nuevas preguntas deberás hacerlo allí, donde además podrás encontrar nuevas asignaturas y herramientas para ayudarte más con tus estudios.
  • icon

    Juanita
    el 7/8/17

    Hola, saludos desde Colombia

    En el segundo ejercicio la "u" está elevada a la 2 pero en la derivada de la división la realizaste con 3. No entiendo por que. 

    Gracias :) 

    replythumb_up0 voto/sflag
    icon

    David
    el 13/8/17

    Lo aclaro en el apartado de "errores en este video", en la esquina inferior izquierda del reproductor

    thumb_up0 voto/sflag
  • icon

    Alberto
    el 20/7/17

    No es más fácil en el primero hacer la derivada de 2*e^x-3 en vez de la derivada de una división?

    replythumb_up0 voto/sflag
    icon

    Antonius Benedictus
    el 20/7/17

    Es muy razonable tu observación, Alberto. Efectivamente es más rápido.

    Pero aquí se trata de practicar...

    thumb_up0 voto/sflag
  • icon

    Andrés Musetti
    el 8/2/17

    Buenas noches profe, saludos desde Uruguay,  la verdad tus videos son muy buenos, aclaran muchisimo cualquier duda.
    En el ejercicio 2, como resultado quedo una super derivada, hay alguna manera de reducirla aun mas usando tus super poderes matematicos? o solo queda asi? Gracias.

    replythumb_up1 voto/sflag
    icon

    Antonius Benedictus
    el 8/2/17

    También puedes aplicar derivación logarítmica:
    Aplicar logaritmos antes derivar y aprovechar sus propiedades, y luego derivar implícitamente.


    thumb_up2 voto/sflag
  • icon

    Marina
    el 19/10/16

    Hola David! Me encantan tus vídeos. Me sirven de muchísima ayuda.

    Solamente comentarte que en el segundo ejercicio es: 4 menos 2x elevado a 2 (y todo elevado a 3), y cuando lo escribes para calcular la derivada me he dado cuenta de que se te ha pasado poner elevado a 2, y lo has elevado a 3. Por eso la derivada que has calculado no es realmente la de esa función. Espero haber servido de ayuda!!!

    Un saludo!!!

    replythumb_up0 voto/sflag
    icon

    David
    el 20/10/16

    Muy atenta!!! De hecho lo dejé aclarado en el apartado de "errores en el vídeo", esquina inferior izquierda del reproductor.

    thumb_up1 voto/sflag
  • icon

    wolfmarcos
    el 9/7/16
    flag

    Disculparme porque estoy un poco bastante confundido. Por ejemplo de (2^-x) la derivada es (2^-x.ln 2.-1),( Entonces "cos^√-x ",no tenfia que ser "cos^√-x ln con .-1/2.√-x .(-sen)" bueno ya me recontra perdi me podrias decir como es la derivada de cos^√-x muchas gracias por tu tiempo.saludos

    replythumb_up0 voto/sflag
    icon

    David
    el 13/7/16

    cos^√-x no tiene sentido....

    thumb_up0 voto/sflag
  • icon

    SaludM
    el 27/1/16

    David, en el minuto 5 del video creo que se ha confundido al copiar, ya que tenemos que derivar (4-2x^2)^3 y pone (4-2x^3)^3; esto es, a elevado la función a tres en lugar de a dos, y ya desde ahí esta todo mal. Espero con sus videos aprobar matemáticas en la Universidad. Gracias!

    replythumb_up1 voto/sflag
    icon

    David
    el 27/1/16

    Muy atenta!! Echale un vistazo al apartado de "errores" en la esquina inferior izquierda del reproductor...

    thumb_up1 voto/sflag
  • icon

    FKN
    el 29/8/15

    David una pregunta, en el último ejercicio al poner la segunda cadena: 1 entre 2 por raíz de 3xcuadrado - 4x, claro la fórmula dice que es 1 entre 2 por raíz de x pero como ahí tengo otra raíz, el segundo eslabón de la cadena no sería: 1 entre (2 por la raíz por la raíz de 3xcuadrado- 4x)?? y ahí se multiplicaría raíz de 2 por raíz de 2, raíz de 4.

    replythumb_up0 voto/sflag
  • icon

    angel
    el 29/6/15

    profe, en el segundo ejercicio en la parte de ( e^√x) seria necesario derivar la "x", ya que como no es una función como tal si no se trata simplemente de "x" y la derivada de la raíz viene dada de esa forma ya :/

    PD: no se si me di a entender xD !!

    replythumb_up0 voto/sflag
    icon

    David
    el 29/6/15

    La derivada de x es 1....

    thumb_up0 voto/sflag
  • icon

    Hugo
    el 14/5/15

    David en el segundo ejercicio no se podria sacar factor comun e^√x?

    replythumb_up0 voto/sflag
    icon

    David
    el 14/5/15

    thumb_up1 voto/sflag
  • icon

    Jhossef Espinoza Alarcón
    el 11/3/15

    El ultimo ejercicio podría leerlo: raiz cuadrada de 1 + raiz cuarta de todo el resto y luego derivarlo cada uno y sumarlo?

    replythumb_up0 voto/sflag
    icon

    David
    el 11/3/15

    No, no puedes porque no son expresiones equivalentes...
    √(1 + √x)) no es igual a √1 + √√x) porque √(a+b)≠ √a+ √b... ¿mejor?

    thumb_up1 voto/sflag
  • icon

    marcos
    el 13/2/15

    David o estoy muy ciego o te confundiste al copiar el segundo ejercicio?? En 2x^2 lo escribiste como 2x^3. Minuto del video 4.55 lo que cambia todo XD

    replythumb_up1 voto/sflag
    icon

    David
    el 13/2/15

    :-) Echale un vistazo al enlace "errores" en la esquina inferior izquierda del reproductor...
    Abrazos!

    thumb_up2 voto/sflag