hola por favor alguien que me ayude el problema es que teniendo este tipo gato calcular en una vuelta cuanto cambia la altura y encontrar la relación. y con que velocidad cambia la altura. conociendo que la manivela puede medir unos 20 cm, y el paso de la rosca del husillo, unos
0,2 cm. Esto significa que por cada vuelta completa a la manivela, la tijera se desplaza 0,4 cm (dos milímetros por cada una de las dos tuercas ensartadas
Hola, alguien sería tan amable de ayudarme con este ejercicio? Por favor!
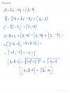
Sean los vectores A= 3i-4j ; B=2A y C= 2i-5j. Determinar el módulo A-B+C
Desde ya, se los agradezco mucho.

Pasamos la velocidad inicial a unidades del sistema internacional (SI).
vo = 54 km/h*(1000 m/1 km)*(1 h/3600 s) = 15 m/s
Recordamos la ecuación de posición para este caso viene dada por la expresión:
y = yo + vo*t - 0.5*g*t2
Tomando como referencia el lugar justo de lanzamiento (yo =0):
y = vo*t - 0.5*g*t2
Reemplazando los datos del problema:
y = 15*t - 0.5*9.81*t2 = 15*t - 4.905*t2 → y = 15*t - 4.905*t2
Para obtener la ecuación de velocidad derivamos la ecuación de posición respecto al tiempo.
v = d/dt [y] = 15 - 9.81*t → v = 15 - 9.81*t
a)
Entonces para la posición y velocidad a en t = 1 s y t = 4 s tan solo reemplazamos estos tiempo en las ecuaciones ya calculadas.
y(1) = 15*1 - 4.905*12 = 10.095 m → y(1) = 10.095 m
v(1) = 15 - 9.81*1 = 5.19 m/s → v(1) = 5.19 m/s
y(4) = 15*4 - 4.905*42 = 10.095 m → y(4) = -18.48 m
v(4) = 15 - 9.81*4 = 5.19 m/s → v(4) = -24.24 m/s
Disculpen me podrian ayudar con este ejercicio? es el ultimo se los agradecere mucho!
Un disco de 0,5m de radio gira en sentido horario acelerando uniformemente desde el reposo hasta alcanzar una velocidad angular de 10 rad/s al cabo de 5 segundos. Luego se mantiene girando a esa velocidad por 5 segundos más y finalmente se detiene en 10 segundos, disminuyendo la velocidad uniformente. Calcular y dibujar la aceleración total en un puntos del borde del disco a los 3, 8 y 15 segundos.

Aplicamos la ecuación que relaciona la velocidad angular, aceleración angular y el tiempo:
ωf = ωo + α*t
Como parte del reposo (ωo = 0). Entonces:
ωf = α*t
Reemplazando los datos que tenemos en la ecuación anterior podemos hallar la aceleracion angular.
10 = α*5 → α = 2 rad/s2
Para t = 3 s, el disco esta en una primera etapa (acelerando). Calculamos la velocidad angular para este tiempo:
ωf = 2*3 = 6 rad/s → ωf = 6 rad/s
Con este valor podemos hallar la aceleración centrípeta aplicando la ecuación:
ac = R*ωf2 = 0.5*62 = 18 m/s2 → ac = 18 m/s2
Para t = 8 s, el disco se encuentra en una segunda etapa (movimiento constante). La velocidad angular en esta etapa es de 10 rad/s.
Aplicando la ecuación de de aceleración centrípeta:
ac = R*ωf2 = 0.5*102 = 50 m/s2 → ac = 50 m/s2
Para t = 15 s, el disco esta en una tercera etapa (desacelerando). Calculamos la desaceleración aplicando la primera ecuación escrita.
ωf = ωo + α*t
0 = 10 + α*10 → α = - 1 rad/s2
Entonces la velocidad angular para t = 15 s es:
ωf = ωo + α*t
ωf = 10 + (-1)*(15-10) → ωf = 5 rad/s
Y la aceleración centrípeta vale:
ac = R*ωf2 = 0.5*52 = 12.5 m/s2 → ac = 12.5 m/s2
La aceleración tangencial la encontramos aplicando la ecuación:
at = R*α
Para t = 3 s:
at = 0.5*2 = 1 m/s2 → at = 1 m/s2
Para t = 8 s:
at = 0.5*0 = 0 m/s2 → at = 0 m/s2
Para t = 15 s:
at = 0.5*-1 = -0.5 m/s2 → at = -0.5 m/s2
La aceleración total será la suma vectorial de ambas aceleraciones (centrípeta y tangencial).
Para t = 3 s:
aT = √ [(18)2 + (1)2] = 18.0278 m/s2 → aT = 18.0278 m/s2
Para t = 8 s:
aT = √ [(50)2 + (0)2] = 50 m/s2 → aT = 50 m/s2
Para t = 15 s:
aT = √ [(12.5)2 + (-0.5)2] = 12.51 m/s2 → aT = 12.51 m/s2
Me ayudan con este ejercicio? desde ya se los agradesco:
Tres particulas están conectadas por medio de barras rígidas de masa despreciable, a lo largo del eje (Y), en las posiciones 2m,-1m y -3m. Las masas son 4kg, 2kg y 3 kg respectivamente.El sistema gira alrededor del eje x con una velocidad angular de 2 rad/s. Calcular el momento de Inercia alrededor del eje (X) y la energia rotacional total evaluada como 1/2 I*w^2.

El momento de inercia total será la suma de los momentos de inercia de cada masa puntual por separado.
El momento de inercia de una masa puntual se determina multiplicando la masa por el cuadrado de la distancia al eje de rotación. Matemáticamente:
Ix = ∑(mi*Ri2)
Dicho esto:
Ix = 4*22 + 2*12 + 3*32
Ix = 45 kg*m2
Y la energía cinética rotacional la evalúas con la ecuación que mencionas:
KR = 0.5*Ix*ω2 = 0.5*45*22
KR = 90 J
Hola muchas gracias por la ayuda me podrian ayudar con este ejercicio?
un balon de futbol es lanzado verticalmente y por la accion del viento cae a 5 metros del lanzamiento. La altura que alcanza el balon es de 8 metros. Calcular la aceleracion horizontal(supuesta constante) del balón.

Planteamos la ecuación que relaciona las velocidades iniciales y finales con la altura del balón:
vf2 - vo2 = - 2*g*h
En la altura máxima (vf = 0). Entonces:
- vo2 = - 2*g*h
Reemplazando los datos que tenemos, podemos hallar la velocidad inicial.
vo2 = 2*9.81*8 → vo = 12.5284 m/s
Aplicando la ecuación que relaciona las velocidades iniciales y finales con el tiempo de subida:
vf = vo - g*t
En la altura máxima (vf = 0). Entonces reemplazando datos y despejando "t":
0 = 12.5284 - 9.81*t → tsubida = 1.2771 s
El tiempo total de vuelo sera el doble del tiempo de subida:
tvuelo = 2*tsubida = 2*1.2771 = 2.5542 s → tvuelo = 2.5542 s
Ahora aplicamos la ecuación de posición horizontal:
x = xo + vox*t + 0.5*a*t2
Tomando como referencia el lugar de tiro (xo = 0). No hay velocidad inicial en este eje (vox = 0). Entonces:
x = 0.5*a*t2
Reemplazando x = 5 m, tvuelo = 2.5542 s y resolviendo para "a" obtenemos la respuesta del problema.
5 = 0.5*a*2.55422 → a = 1.5328 m/s2

Para empezar el tiempo π/2 que te dan se trata del semiperiodo (tiempo en que tarda el cuerpo en realizar media oscilacion completa), con lo cual el periodo será:
T= π s
Seguidamente con esto puedes hallar la frecuencia angular:
ω=2π/T= 2 rad/s
Una vez tienes esto el apartado a) consiste en aplicar la expresión:
x(t)=Asen(ωt+φ0) siendo A=0,05 m para cada tiempo que te dan (importante poner la calculadora en modo radianes)
Recuerda también φ0 lo determinas con las condiciones iniciales que te da el ejercicio, sabiendo que cuando t=0 => x(t)=0,05 m
Finalmente el apartado b) consiste en derivar la expresion del apartado a) una vez para obtener la velocidad y de nuevo otra apara obtener la aceleración, sabiendo que ambas serán máximas cuando las razones trigonométricas tomen valor 1, es decir:
vmax(t)=Aω
amax(t)=-Aω2
Te dejo los cálculos a ti ;)
Hola
Me podrían ayudar a solventar dudas en estos ejercicios? Es sobre momento de inercia con ejes paralelos
En el 10 me da la respuesta 2.159 kg.m2 cuando se supone deberia ser de 4.73 kg.m2 y el 12 si que no sabia como plantearlo.
Muchas gracias de antemano.

10.
Determinamos el momento de inercia de la masa puntual, la esfera y de la barra rígida respecto al eje dado.
Para la esfera y la varilla aplicamos el teorema de los ejes paralelos.
Para la masa puntual:
Im = m*[(L/2)-x]2 = 0.60*[(2/2)-0.30]2 = 0.294 kg*m2
Im = 0.294 kg*m2
Para la esfera:
Ie = ICM + me*(re+L/2+x)2 = (2/5)*me*re2 + me*(re+L/2+x)2 = (2/5)*1.5*0.152 + 1.5*(0.15+2/2+0.30)2 = 3.1673 kg*m2
Ie = 3.1673 kg*m2
Para la varilla delgada:
Iv = ICM + mv*x2 = (1/12)*mv*L2 + mv*x2 = (1/12)*3*22 + 3*0.302 = 1.27 kg*m2
Iv = 1.27 kg*m2
Finalmente, el momento de inercia total sera la suma de las tres antes calculadas:
Ix = Im + Ie + Iv = 0.294 + 3.1673 + 1.27 = 4.7313 kg*m2
Ix = 4.7313 kg*m2

12.
Cada partícula en la puerta podría deslizarse hacia abajo en una barra de alta densidad a través de su parte inferior, sin cambiar la distancia de la partícula desde el eje de rotación de la puerta. Por esta razon el dato de la altura de la puerta es innecesario para el ejercicio. Así, una varilla de 1 m de ancho (longitud) con una masa de 19 kg, girada alrededor de un extremo, tiene la misma inercia de rotación que la puerta. Recordemos que el momento de inercia de una varilla delgada con eje de rotación a travez de un extremo esta dado por la expresión:
I = (1/3)*m*L2
Dicho esto, la respuesta del problema seria:
I = (1/3)*19*12 = 6.3333 kg*m2
I = 6.3333 kg*m2