hola buen diaa¡ comunidad,
tengo pregunta en hidrostatica en donde nos pide la profundidad y ya hice el despeje y en dos problemas distintos nos da la presion en N/m^2 y en kgf/cm^2, ahora nos dan la densidad del agua de mar que es de 1.03 (sin unidad) en los problemas como reitero nos da la densidad en kgf/cm^2 por que se multiplica por 1000 (ya que es una constante).¿cuando se utliza la densidad en kgf/cm^2 y cuando se utliza la densidad sin unidades (1.03)?

Siempre debes pasar la presion a unidades del sistema internacional (N/m² o Pa)... En tu caso, por factores de conversion...
(15000 kgf/cm²).(10000 cm²/1 m²).(9,8 N / 1 kgf)
En cuanto a lo 1,03, no tiene unidades porque el enunciado especifica claramente que es una densidad RELATIVA. Y se multiplica por la densidad del agua (1kg/m³) para obtener la densidad "real"... d=dr. dagua
Hola a todos
Tengo dudas con respecto a este tipo de ejercicios, particularmente este ejemplo no entiendo porque cuando r es menor que a se toma como que la sumatoria de las cargas interiores da 0, en que me tengo que fijar para ver esto?.
Ademas hay otro ejercicio igual a este pero en vez de densidad superficial tiene densidad volumetrica, y en ese no toman la sumatoria de cargas igual a 0, porque es esto??
Muchas gracias de antemano! Saludos

Hola Facundo , esto de debe al Teorema de Gauss el cual dice que el campo electrico en el interior de una esfera, que se encuentra en equilibrio electroestatico ,es nulo. Entonces , si R
te dejo un enlace en el cual puedes ver la aplicacion del teorema. https://www.fisicalab.com/apartado/campo-electrico-esfera-cargada#contenidos
Un saludo
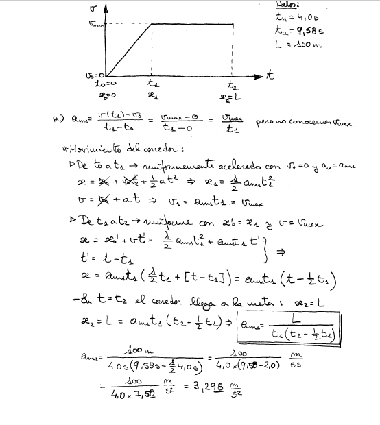
Hola! muy buenas noches, tengo una pequeña dudilla sobre este problema, es de Movimiento rectilinio uniformemente acelerado. quisiera saber, si alguien podría revisar mi modo de hacerlo, llego a un resultado pero no sé si esté bien. Gracias!!:
En las olimpíadas de Beijing, Husain Bolt de Jamaica estableció un nuevo récord del mundo en los 100 m lisos (planos) con una marca de 9.69 s. Supongamos que aceleró desde el reposo con aceleración constante y que alcanzó su velocidad máxima en 4s, la cual mantuvo hasta llegar a la meta. ¿Cuál fue su aceleración en la prueba?
Nota: SOLO TOME 2 DECIMALES despues deL punto

Vamos a verlo, Raul: Se trata de un movimiento compuesto de MRUA y un MRU.
a) Para los primeros 4 segundos: (MRUA); Parte del reposo: X1= Vot+0.5at²=0.5a•4²=8a
En estos 4 segundos alcanza la velocidad que mantiene hasta el final: Vf=Vo+at=at=4a
b) Para el reto del tiempo: t=(9.69-4=5.69 s X2=V•t=4a•5.69=22.76a
Podemos afirmar que la suma del espacio recorrido (X1+X2=100 m) entonces tenemos: 100=8a+22.76a=30.76 a→a=100/30.76=3.25 m/s²
Es sumamente sencillo, si no entiendes algo lo preguntas. Un saludo.
Alguien podria ayudarme en el siguiente ejercicio de optica?
Dos lentes delgadas con distancias focales f1=20cm y f2=10 cm se encuentran separadas 30 cm.Un objeto se situa 50 cm a la izquierda de la primera lente,encuentra la imagen final asi como su naturaleza e amplificacion.
Mi problema está en que se trata de la combinacion de dos lentes convergentes pero a la hora de realizar el diagrama de rayos para encontrar la imagen me encuentro perdido y solo llego hasta aquí,gracias de antenmano.

Debes hacerlo paso a paso, con paciencia. Lo primero, olvidarte de que hay una segunda lente y hacer todo el ejercicio completo como si solo tuvieras una. Tendrás que hallar la imagen.
Despues empezar un nuevo ejercicio tomando esa imagen y la segunda lente...
Para poder ayudarte con este ejercicio, que es eterno, tendrás que aportarnos algo más que el enunciado, lo siento. Se trata de que DESPUES DE IR A CLASE (ver los vídeos relacionados con vuestras dudas) enviéis dudas concretas, muy concretas. Y que nos enviéis también todo aquello que hayais conseguido hacer por vosotros mismos. Paso a paso, esté bien o mal. No solo el enunciado. De esa manera podremos saber vuestro nivel, en que podemos ayudaros, cuales son vuestros fallos.... Y el trabajo duro será el vuestro. #nosvemosenclase Nos cuentas ¿ok?
alguien puede ayudarme a hacer el ejercicio numero 3, lo he intentado pero no me sale
Un condensador de placas paralelas se situa en un campo magnetico uniforme B de magnitud 0,1T. La dirección del campo magnetico es paralela a las placas tal como se muestra en la figua 3(la del centro). El condensador esta cargado y prodce un campo E=10^5V/m en la direccion mostrada. Un electron entra en el condensador desde la izquierda con una velocidad de 3x10^6 m/s ; la direccion de su movimiento es perpendicular a ambos campos, como se indica en la figura.(q(e)=1.6x10^-19C)
a) ¿cual es la fuerza(magnitud y direccion) que experimenta el electron cuando entra en el condensador?
b) si pudieramos cambiar la magnitud del campo electrico o/y del campo magnetico, ¿seria posible para este electron pasar a traves del condensador en linea recta? explique su respuesta

¿Has visto este video?.. FISICA Campo electrico y magnetico
A partir de ahí se trata de que DESPUES DE IR A CLASE (ver los vídeos relacionados con vuestras dudas) enviéis dudas concretas, muy concretas. Y que nos enviéis también todo aquello que hayais conseguido hacer por vosotros mismos. Paso a paso, esté bien o mal. No solo el enunciado. De esa manera podremos saber vuestro nivel, en que podemos ayudaros, cuales son vuestros fallos.... Y el trabajo duro será el vuestro. #nosvemosenclase Nos cuentas ¿ok?
Una duda.
Tres poleas que manejan una misma "cuerda" con diferente radio c/u. Debo calcular la velocidad angular pero mi duda es si solo hay que calcular 1 o la de las 3 puesto que si haces ese cálculo hay que tener en cuenta el periodo y el periodo en cada una cambia ya q el radio es diferente en cada una, entonces mi duda es si debo calcular velocidad angular en las3 o solo en 1 lo mismo con el periodo y la frecuencia.
Gracias de antemano.
Hola Unicoos, me pueden guiar con el apartado A de este ejercicio? Me piden la potencia entregada por el generador de tension. La verdad no se muy bien como hacerlo, hice ejercicios mas simples donde solo trabajaba con resistencias pero en este circuito ya se incluyeron fuentes de tension reales y a pesar de que tengo dominada algo de la teoria sigo sin saber por donde empezar con este.
Gracias de antemano.
hola a todos, seriais tan amables de resolverme este ejercicio de estática de sistemas (DSL)
Un saludo
ANgela, no tengo mucha exp en esto, pero algo me acuerdo, y capaz te es util:
Eventualmente, cuando planteamos problemas tenes muchas incognitas, datos bla bla bla, pero podes pensar unos minutos cual es el mejor camino para hacerlo, plantear energia, newton, torques, mom angular, etc.
Yo plantearia las ec de newton para los dos ejes x e y, luego una tercera en virtud de un versor (vector de modulo 1), k. que corresponde a los torques.
COmo te piden las reacciones, creo que en mi pais las llamamos normales, si no es otra cosa que piden. Aparecerian en la ec de torques y newton.
Por parto aplicas newton, despejas las normales en virtud de las diferentes variables, luego aploca torques eligiendo un punto adecuado donde te queden la menor cantidad de incognitas posibles (paso sumamente importante, ya que disminuye las cuentas jeje.....) Luego ves que variables tenes si te quedan un sist comp, incomp, es decir mas variables que incognitas y resolves. Si incognitas = variables, bueeno entonces lo resolves despejando... si no es asi, buscas otra ecuacion llamada vinculo que te ayude.
la segunda parte no la entiendo bien a que se refiere.
Acuerdate SI ES NECESARIO DE aplicar el teo DE EJES PARALELOS
espero que maso menos te pueda ayudar.
Saludos,
Necesito ayuda con este ejercicio por favor, no me dan los resultados indicados en el libro que son 0,227A y 5,68V ... sume las resistencias en paralelo y luego las resistencias en serie, pasa obtener la resistencia equivalente, calculé la intensidad de corriente total, luego los voltajes de cada resistencia para así poder calcular la corriente en el resistor de 20 ohm, pero aún así no me da el resultado
¿estaré en lo correcto o he cometido algún error?
Gracias c:

Buenos días, aquí te lo dejo. Lo que has de hacer es arreglar un poco el circuito antes de empezar a calcular la intensidad, por ejemplo: puedes sumar las dos resistencias en serie (20 y 5) y luego puedes agrupar las dos resistencias que están en paralelo (10 y 5). Una vez llegado hasta aquí, debes aplicar las leyes de Kirchhoff y obtendrás la intensidad que circula tanto por la resistencia de 20 como la de 5. A partir de aquí, solo has de aplicar la ley de ohm para poder saber la diferencia de potencial que hay entre los puntos A y B, que es la misma que la caída de tensión entre la resistencia de 5 y 20, que sumadas son 25.