Me ayudan con este problema de dinámica ?
El esquema representa un conjunto de 3 cuerpos A, B, C, de masas respectivas 2kg, 3kg, 5kg, sobre un plano horizontal sin rozamientos. Sobre A actúa una fuerza horizontal de 60N
La diferencia entre la fuerza que A ejerce sobre B y la fuerza que B ejerce sobre C es...
Hola a todos los UNICOOS, les escribo nuevamente porque tengo un duda sobre un problema, lo he resuelto y las respuestas no terminan de convencerme y por eso les pido, por favor, que me orienten de cómo sería la solución correcta. El problema dice: DADO EL SIGUIENTE SISTESMA ( DAN UNA FIGURA CON UNA POLEA, UN BLOQUE APOYADO EN LA SUPERFICIE INCLINADA Y UN CILINDRO QUE CUELGA DE LA CUERDA)
a) CALCULAR LA ACELERACIÓN DEL SISTEMA. MASA DEL CILINDRO=5Kg, MASA DEL BLOQUE=8Kg. EL PLANO ESTÁ INCLINADO 30º.
b) CALCULAR LA TENSIÓN DE LA CUERDA.
Cuando resuelvo asumiendo el movimiento hacia abajo me sale una aceleración negativa, entonces lo intento asumir para arriba y me sigue saliendo la aceleración negativa; es posible que eso sea así.
Buenos días a todos los UNICOOS y especialmente a Francisco y Albus99 que respondieron a mi pregunta, sin embargo el plano inclinado tiene rozamiento de "0.2" y es eso lo que me está causando mis dudas, que cuando asumo el movimiento hacia arriba, la aceleración me sale negativa (como lo pueden comprobar en el planteamiento que , muy amablemente, me enviaron) y si asumo el movimiento hacia abajo, me sigue saliendo negativa, no sé que estoy haciendo mal; podrían ,solo plantear el problema y verificar lo que tengo yo con el vuestro.
Gracias
Hola chicos, una duda ... cuales son los sentidos de la aceleracion normal ????
Buenas tardes. Tengo una duda en este problema: Medimos una presión de 710 mmHg en el pie de una montaña y de 600 mmHg en la cima, siendo la densidad del aire 1.3 kg/m3. ¿Cuál es la altura de la montaña? Yo he usado la fórmula de P=dgh, y he conseguido la altura en ambos casos. Luego he restado estas alturas, y me sale la altura de la montaña, pero no me cuadran los resultados, pues me sale que en el lugar donde la presión es mayor la altura también lo es en comparación con la altura del lugar donde la presión es menor. El problema es que se supone que cuanto mas alto estes en una montaña la presión debería ser menor, y a mi me sale al contrario, que es mayor. Esto tendría sentido si estuviéramos en un recipiente con un fluido hablando de profundiades, pero aquí no. ¿He usado mal la fórmula? Gracias de antemano.

En el pie de la montaña P2=710mm Hg. (1 atm/760 mmHg).(101300Pa/1 atm) = h1.1,3 Kg/m³. 9,8 m/s².. h1=7428,22 metros
En la cima P1=600mm Hg. (1 atm/760 mmHg).(101300Pa/1 atm) = h2.1,3 Kg/m³. 9,8 m/s².. h1=6277,37 metros
Pero ambas alturas no son la altura sobre el nivel del mar, sino la altura de la columna de aire que tenemos sobre nuestras cabezas, que es la que ejerce la presion...
Por eso esa altura es menor en la cima de la montaña
Buenos días a todos. Quería hacerles una simple pregunta sobre este ejercicio: "Un misil de masa M vuela horizontalmente a 330 m del suelo con una rapidez constante de 270 km/h. En cierto momento, estalla en dos trozos. Uno de ellos, de masa 0,4M, sale disparado hacia el suelo con un ángulo de 28º bajo la horizontal de vuelo, llegando a alcanzar una distancia en tierra de 180 m. ¿Cuál fue la velocidad del segundo trozo y qué altura máxima desde el suelo llegó a alcanzar?".
La duda que tengo es que no me aclaran cuál es la velocidad final del trozo que va hacia el suelo. He pensado en que sea 0 m/s. ¿Sería esa su velocidad final? Gracias.
Hola a todos.
Tengo una pregunta muy sencilla sobre la fuerza de empuje. En un ejercicio, en donde tenemos un estanque de 1.5 metros de ancho y 1.25 metros de largo, se llena con agua hasta que dicha agua alcanza una altura de 1 metro, despues en el agua se introduce un cilindro con una densidad de 1100 (kg/m^3), de 1 metro de largo y con un diametro de 0.6 metros. En el ejercicio se pide saber a que altura desde el fondo del estanque quedara el cilindro (el cilindro queda vertical en el agua).
Al igualar la fuerza de empuje con el peso, se llega a la relacion:
P = E -> mc*g = vad*da*g -> vc*dc*g = vad*da*g -> vad = (dc/da)*vc
volumen de agua desplazada = 1.1 volumen del cilindro.
en caso de que ese 1.1 fuera 0.9, significaria que el 90% del cilindro esta sumergido en el agua.
Alguien me puede decir que significa el 1.1, yo supongo que indica que sobre el cilindro, queda un volumen de agua equivalente al 10% del volumen del cilindro. Esta es mi gran duda.
De ante mano gracias por cualquier respuesta.

Volumen del cilindro= π.0,3².1=0,28274328 m³
Masa del cilindro =d.v=0,28274328 m³ x 1100 kg/m³=311,017608 Kg
Peso del cilindro = m.g=311,017 x 9,8 = 3048 N
Empuje = Vcs .dl.g=π.0,3².h. 1000 . 9,8 = 2770,884144.h N..... Si Peso=Empuje... 3048=2771.h... h=1,1 metros, lo cual no tiene sentido pues la longitud del cilindro es 1 metro.
Eso significa que el empuje es inferior al peso y por tanto el cilindro se sumerge por completo y se hunde hasta el fondo...
Holaa alguien me podria ayudar necesito resolver este problema
Una pelota pequeña rueda a 25 m/s por un canal plano, cayendo sobre un techo inclinado de 30 grados, determine en que punto del techo inclinado cae la pelota. :( Por favor es urgente
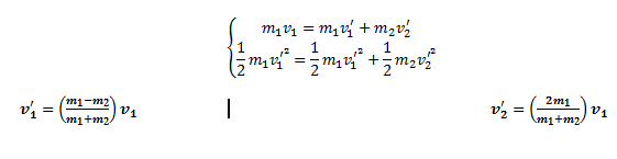
Hola, necesito ayuda para despejar en un sistema, me da las soluciones pero no hay forma de q consiga llegar

El sistema está mal planteado.. En la segunda ecuacion, ¿el primer miembro no será (1/2).m1.v1²?.... Escribiste v1' en vez de v1....
Teniendo en cuenta eso... Multiplica por 2 a la segunda ecuacion... m1.v1²=m1.v1'²+m2.v2'²
Despeja, por ejemplo, v2' de la primera ecuacion.. Te quedará m1.v1-m1.v1'=m2.v2'... m1(v1-v1')/m2=v2'....
Sustituyelo en la segunda... m1.v1²=m1.v1'²+m2.m1²(v1-v1')²/m2².... m1.v1²=m1.v1'²+m1²(v1-v1')²/m2.... v1²=v1'²+m1.(v1-v1')²/m2....m2.v1²=m2.v1'²+m1.(v1²+v1'²-2.v1.v1')
m2.v1²=m2.v1'²+m1.v1²+m1.v1'²-2.m1.v1.v1'... m2.v1² -m1.v1² =m2.v1'²+m1.v1'²-2.m1.v1.v1'... (m2-m1).v1² =(m2+m1). v1'²-2.m1.v1.v1'...
....(m2+m1). v1'²-2.m1.v1.v1' -(m2-m1).v1² =0 Para obtener la expresion de v1', deberás resolver una ecuacion de segundo grado (a=m2+m1, b=-2.m1.v1, c=(m1-m2).v1²)
v1'= [2m1.v1 ± √(4m1²v1² - 4.(m1+m2)(m1-m2).v1²))] / (2(m2+m1)) = [2m1.v1 ± v1.√(4m1² - 4.(m1²-m2²))] / (2(m2+m1))=[2m1 ± √(4m2²)].v1 / (2(m2+m1)) = [2m1 ± 2m2)].v1 / (2(m2+m1))=
=v1'= (m1 -m2).v1 / (m1+m2)
Para obtener v2', sustituye lo obtenido en m1(v1-v1')/m2=v2'.... Espero te haya ayudado..
Hola tengo una pregunta relacionada con los cuerpos en equilibrio, el ejercicio dice así...
Una grúa aguanta en equilibrio un cuerpo de 6t.
Debemos determinar
1 La fuerza que hace el cuerpo en reposo
2 la fuerza que debe hacer el cable a la hora de empujarlo a una aceleración de 1,5m/s2
3 la velocidad que adquiere si sube con una aceleración de 1,5m/s2 durante 30s.
No entiendo que formulas o que procedimientos debo utilizar y en el libro no sale muy bien especificado, muchas gracias.

Apartado 1
Tienes que tener claro la fórmula de la segunda Ley de Newton, la de ∑F=m*a. Es decir, en la parte donde ponemos ∑F tienes que poner todas las fuerzas que actuan con su signo + o - correspondiente. Como el cuerpo está en reposo, no hay movimiento, por lo tanto la aceleración es 0. Entonces nosotros tendríamos esto: T(tensión de la cuerda)-p(peso del objeto)=m*a. Como la a=0, despejando nos queda que T=p. Sabemos que el peso se calcula como masa por gravedad, por lo tanto, sería 6000 kg*9.8 m/s2. De ahí obtenemos que la fuerza que ejerce, que en este caso es igual a la tensión pues está quieto el sistema.
Apartado 2
Aquí si tenemos una aceleración. Repetimos el procedimiento de antes. ∑F=m*a. T(positiva porque tira a favor del movimiento, pues la caja sube)-p(negativo, pues el peso va hacia abajo, en contra del movimiento)=m*a.
T-mg=m*a, T-9.8*6000=6000*1.5, de donde despejamos T(la tensión o fuerza que hace la cuerda), y sale 67800N. Como observas es mayor al peso, si no el sistema caería.
Apartado 3
Aquí hay que usar cinemática. Es un movimiento rectilineo acelerado, por lo tanto usaremos la fórmula de v=v0+at. Nosotros queremos hallar v, velocidad final. v0(velocidad inicial) será 0, puesto que el sistema empieza a subir desde un estado de reposo.La a la sabemos, es 1.5m/s2. El tiempo también, 30 s.
Ahora simplemente despejamos.
v=0+1.5*30=45 m/s, velocidad alcanzada en 30 s.
Espero haberte ayudado, un saludo.
Hola, tengo el siguiente ejercicio de relatividad:
Una regla de dos metros de longitud se mueve con respecto de un observador en reposocon una velocidad de 0.8 c, en dirección paralela a la propia regla ¿Qué longitud tiene laregla para el observador en reposo? ¿Cuánto tiempo tarda la regla en pasar por delante delobservador en reposo?
Yo calculé la longitud de la regla para el observador en reposo, me da 1,2 m. Pero para hallar el tiempo, necesito "el tiempo propio" de la regla, ¿cómo lo hallo? Gracias!

¿viste este video? FISICA RELATIVISTA Masa, Longitud, Tiempo
¿que has hecho paso a paso?