hola como se haría este problema ?
halle la ecuación de recta que contenga el punto (5,-6) y que sea perpendicular a una recta que interseca el eje "x" en 3y y el eje "y" en 6
Sigue estos pasos:
1º Calcula el vector director de la recta que pasa por: A(3, 0) y B(0, 6) .
2º Calcular el vector director perpendicular al anterior.
3º Calcular la ecuación de la recta que pasa por C(5, -6) y que tiene como vector director el hallado en el 2º paso.
Solución:
1. El vector director es (0, 6) - (3, 0) = (-3, 6).
2. Para calcular un vector director perpendicular a otro se cambian las cifras y a una de ellas, la que sea, se le cambia de signo = (6, 3)
3. La recta que pasa por C(5, -6) y tiene como vector director (6, 3) está definida por la siguiente ecuación (ecuación continua): (x-5)/6 = (y+6)/3
Saludos!

Vamos con una orientación.
Observa que puedes reescribir el argumento de la raíz cuadrada:
4 - 3x2 = 4*( 1 - (3/4)*x2 ) = 4*( 1 - (√(3)*x/2)2 ).
Luego, puedes proponer la sustitución (cambio de variable):
√(3)*x/2 = senw, de donde tienes:
x = 2*senw/√(3), también tienes:
dx = 2*cosw*dw/√(3), también tienes:
4 - 3x2 = 4 - (2*senw)2 = 4 - 4*sen2w = 4*(1 - sen2w) = 4*cos2w,
y también tienes:
arcsen(√(3)*x/2) = w (*).
Luego, planteas la integral de tu enunciado, y queda:
I = ∫ ( 1/√(4 - 3x2) )*dx, sustituyes expresiones, y queda:
I = ∫ ( 1/√(4*cos2w) )*2*cosw*dw/√(3), resuelves el denominador en la expresión fraccionaria, y queda:
I = ∫ ( 1/(2*cosw) )*2*cosw*dw/√(3), simplificas en el argumento de la integral, y queda:
I = ∫ dw/√(3), extraes el factor constante, y queda:
I = ( 1/√(3) ) * ∫ dw, resuelves la integral, y queda:
I = ( 1/√(3) )*w + C, sustituyes la expresión señalada (*), y queda:
I = ( 1/√(3) )*arcsen(√(3)*x/2) + C.
Espero haberte ayudado.

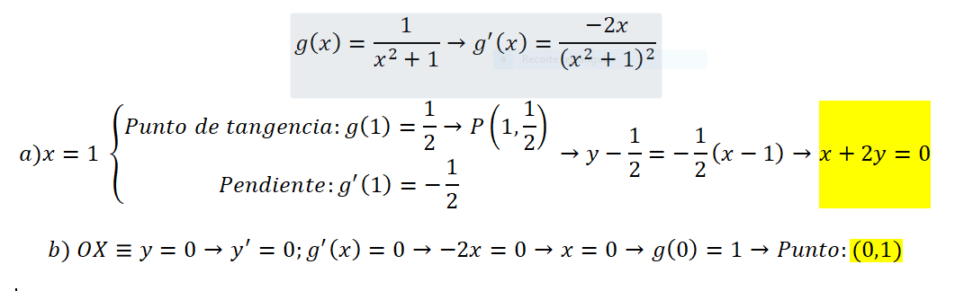
Planteas la expresión de la función derivada, y queda: g ' (x) = -2x/(x2+1)2.
a)
Tienes la abscisa del punto de contacto: x = 1.
Plantea la ordenada del punto de contacto: y = g(1) = 1/(12+1) = 1/(1+1) = 1/2.
Luego, tienes que el punto de contacto es: A(1,1/2).
Plantea la pendiente de la recta tangente: m = g ' (1) = -2(1)/(12+1)2 = -2/(1+1)2 = -2/22 = -2/4 = -1/2.
Luego, planteas la ecuación punto-pendiente para la recta tangente:
y - 1/2 = -(1/2)*(x - 1), distribuyes en el segundo miembro, y queda
y - 1/2 = -(1/2)*x + 1/2, haces pasaje de término, y queda
y = -(1/2)*x + 1,
que es la ecuación cartesiana explícita de la recta tangente.
b)
Tienes que la recta tangente es paralela al eje OX, por lo que tienes:
m = 0, sustituyes en el primer miembro por la expresión de la pendiente en función derivada primera, y queda:
g ' (x) = 0, sustituyes la expresión de la función derivada, y queda:
-2x/(x2+1)2 = 0, haces pasaje de divisor como factor (observa que toma valores estrictamente positivos), y queda:
-2x = 0, haces pasaje de factor como divisor, y queda:
x = 0, que es la abscisa del punto de contacto.
Luego, plantea la expresión de la ordenada del punto de contacto: y = g(0) = 1/(02+1) = 1/(0+1) = 1/1 = 1.
Luego, tienes que el punto de contacto es: B(0,1).
Luego, planteas la ecuación punto-pendiente para la recta tangente:
y - 1 = 0*(x - 0), resuelves en el segundo miembro, y queda
y - 1 = 0, haces pasaje de término, y queda
y = 1,
que es la ecuación cartesiana explícita de la recta tangente.
Espero haberte ayudado.
buenas tardes, como se hace:
a)calcula el vector normal del plano x=-1
b)calcula las ecuaciones parametricas del plano z=3

Recuerda que si tienes la ecuación cartesiana implícita de un plano:
a*x + b*y + c*z = d,
tienes que uno de sus vectores normales es:
n = < a , b , c >.
a)
Observa que puedes escribir la ecuación del plano en la forma:
1*x + 0+y + 0*z = -1, por lo que uno de sus vectores normales es: na = < 1 , 0 , 0 >.
b)
Observa que puedes escribir la ecuación del plano en la forma:
0*x + 0+y + 1*z = 3, por lo que uno de sus vectores normales es: nb = < 0 , 0 , 1 >.
Espero haberte ayudado.

Puedes llamar C (expresado en m3/h) al caudal de un desagüe.
Luego, tienes para la situación inicial:
Volumen a desagotar: V1 = 4000 m3,
Tiempo necesario para el desagote: t1 = 5 h,
Caudal total de los desagües: C1 = 4*C;
luego, planteas la expresión del volumen desagotado en función del caudal y del tiempo, y queda la ecuacion:
V1 = C1*t1, sustituyes, y qeuda:
4000 = 4*C*5, haces pasajes de factores como divisores, y queda:
200 m3/h = C, que es el caudal de un desagüe.
Luego, tienes para la situación final:
Volumen a desagotar: V2 = 6 Dam3 = 6000 m3,
Tiempo necesario para el desagote: t2 = a determinar,
Caudal total de los desagües: C2 = 6*C = 6*200 = 1200 m3/h;
luego, planteas la expresión del volumen desagotado en función del caudal y del tiempo, y queda la ecuacion:
V2 = C2*t2, sustituyes, y qeuda:
6000 = 1200*t2, haces pasajes de factor como divisor, y queda:
5 h = t2, que es tiempo que emplearán los seis desagües.
Espero haberte ayudado.